Open Access
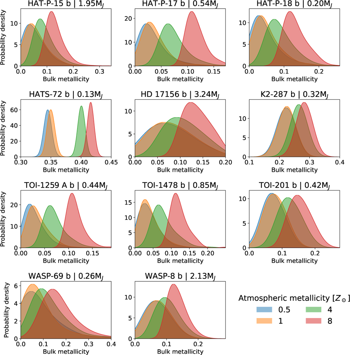
Fig. 3

Download original image
Probability densities of the inferred metallicities for 11 planets from our sample. The colours are the distributions for different atmospheric metallicities (see the legend). The depicted planets show at least moderate separation between the peaks in the different Gaussian distributions (see text for details).
Current usage metrics show cumulative count of Article Views (full-text article views including HTML views, PDF and ePub downloads, according to the available data) and Abstracts Views on Vision4Press platform.
Data correspond to usage on the plateform after 2015. The current usage metrics is available 48-96 hours after online publication and is updated daily on week days.
Initial download of the metrics may take a while.