Open Access

Fig. 3.

image

Download original image

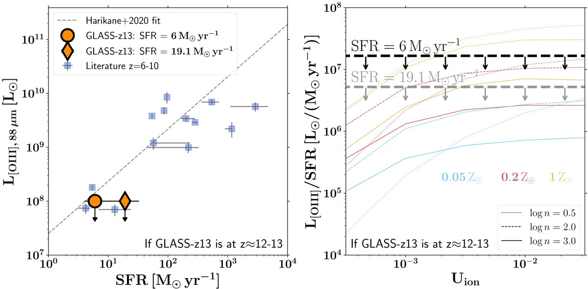
Left: Upper limit on the [O III] 88 μm luminosity of GLASS-z13 as a function of its SFR, compared to galaxies at z = 6 − 10 taken from the literature compilation by Harikane et al. (2020). Upper limits are presented for the two respective SFRs derived by Castellano et al. (2022) and Santini et al. (2022). If GLASS-z13 is a z > 11.9 galaxy, the upper limits are consistent with the empirical trend. Right: CLOUDY calculation results taken from Harikane et al. (2020) for the ratio between [O III] 88 μm luminosity and SFR, as a function of ionisation parameter Uion, as well as the ISM metallicity and density. Under the assumption that GLASS-z13 is a z ≈ 12 − 13 galaxy, the upper limits on the [O III] 88 μm luminosity–SFR ratio that would be obtained for the two SFRs derived in the literature are indicated by the dashed black and grey lines with arrows. A broader line width of ∼400 km s−1 would move the upper limits up by a factor of two. These upper limits suggest either a low-metallicity (< 0.2 Z) and/or a dense (at least 100 cm−3) ISM.

Current usage metrics show cumulative count of Article Views (full-text article views including HTML views, PDF and ePub downloads, according to the available data) and Abstracts Views on Vision4Press platform.

Data correspond to usage on the plateform after 2015. The current usage metrics is available 48-96 hours after online publication and is updated daily on week days.

Initial download of the metrics may take a while.