Open Access

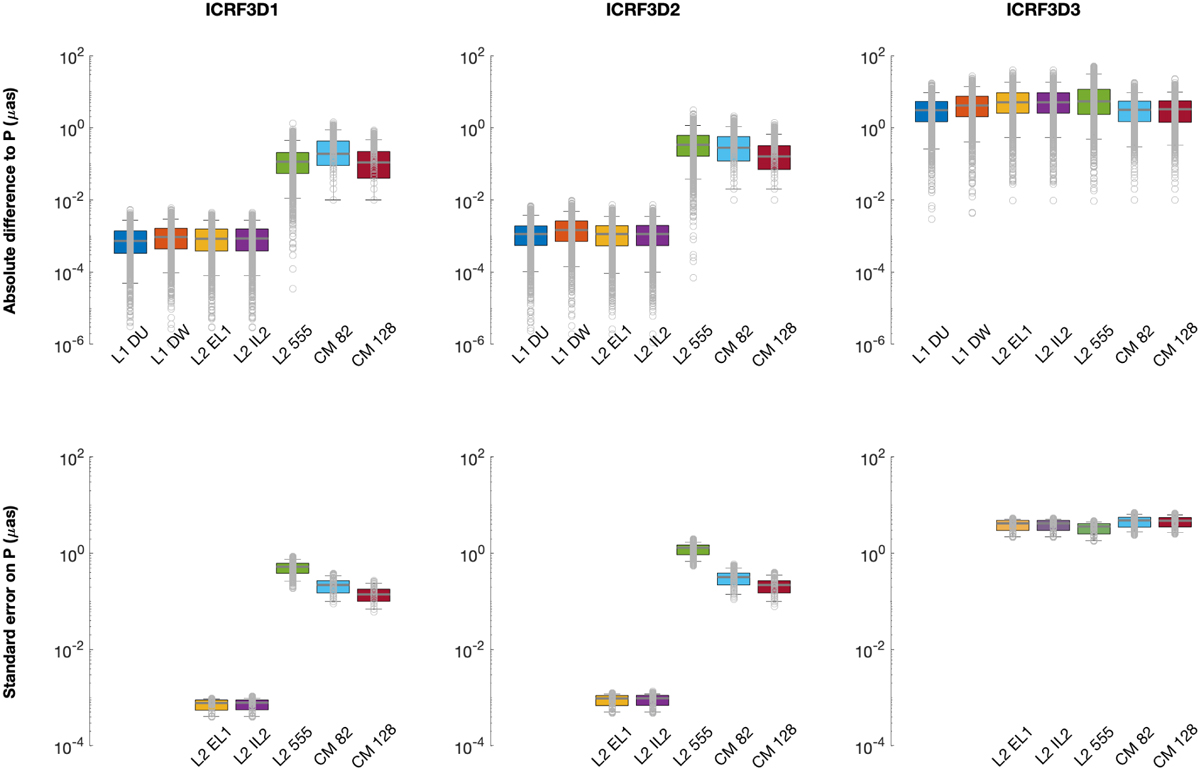
Fig. 1

image

Download original image

Whiskers showing the median (grey, horizontal line) and dispersion of estimated parameters around the true value and of their standard error over 100 catalogs in three categories by the various estimation methods L1 DU, L1 DW, L2 EL1, L2 IL2, L2 555, CM 82, and CM128. The box limits are the first and third quartiles; the extreme horizontal bars indicate the fifth and 95th percentiles.

Current usage metrics show cumulative count of Article Views (full-text article views including HTML views, PDF and ePub downloads, according to the available data) and Abstracts Views on Vision4Press platform.

Data correspond to usage on the plateform after 2015. The current usage metrics is available 48-96 hours after online publication and is updated daily on week days.

Initial download of the metrics may take a while.