Open Access

Fig. 9

image

Download original image

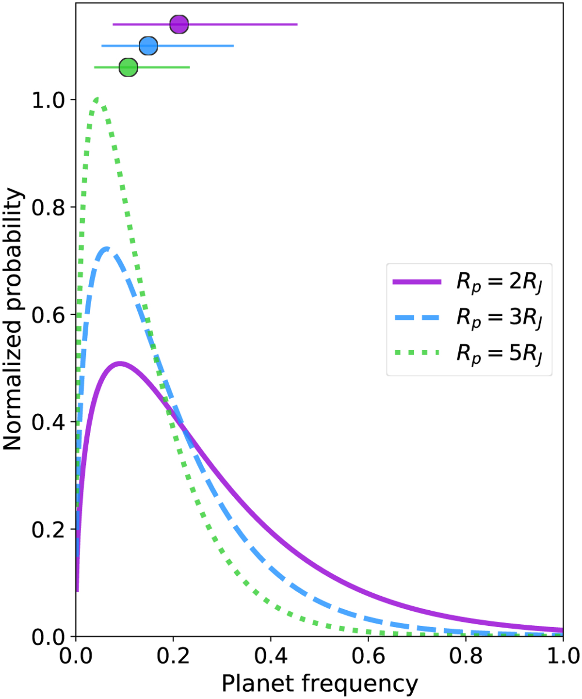
Posterior probability of the frequency of forming systems (20–500 au, 600–3000 K) for the different photometric radii Rp = 2, 3, 5 RJ. Filled circles represent the median of each distribution, while the corresponding errorbars give the 1σ confidence intervals.

Current usage metrics show cumulative count of Article Views (full-text article views including HTML views, PDF and ePub downloads, according to the available data) and Abstracts Views on Vision4Press platform.

Data correspond to usage on the plateform after 2015. The current usage metrics is available 48-96 hours after online publication and is updated daily on week days.

Initial download of the metrics may take a while.