Fig. 15.

Download original image
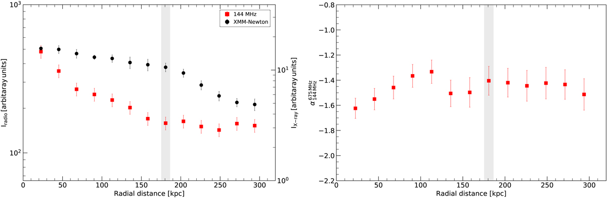
Radio (left) and spectral index (right) profiles extracted in a sector at the cold front CF2 (shown with gray shaded region). Sector used for extracting the profile across CF2 is shown in Fig. 10. The width of each annulus is 20″. The error bars represent both statistical and flux density scale errors. Both radio and X-ray profiles show a jump at the cold front CF2. The sector used for extracting these profiles are shown in Fig. 12. The gray shaded area for CF2 is smaller than the one shown in Fig. 13 because CF2 extends over various radii (shown in red in Fig. 12) but in the current Figure the sector used for flux extraction is smaller (green sector in Fig. 12), that is smaller than the actual cold front length.
Current usage metrics show cumulative count of Article Views (full-text article views including HTML views, PDF and ePub downloads, according to the available data) and Abstracts Views on Vision4Press platform.
Data correspond to usage on the plateform after 2015. The current usage metrics is available 48-96 hours after online publication and is updated daily on week days.
Initial download of the metrics may take a while.