Open Access
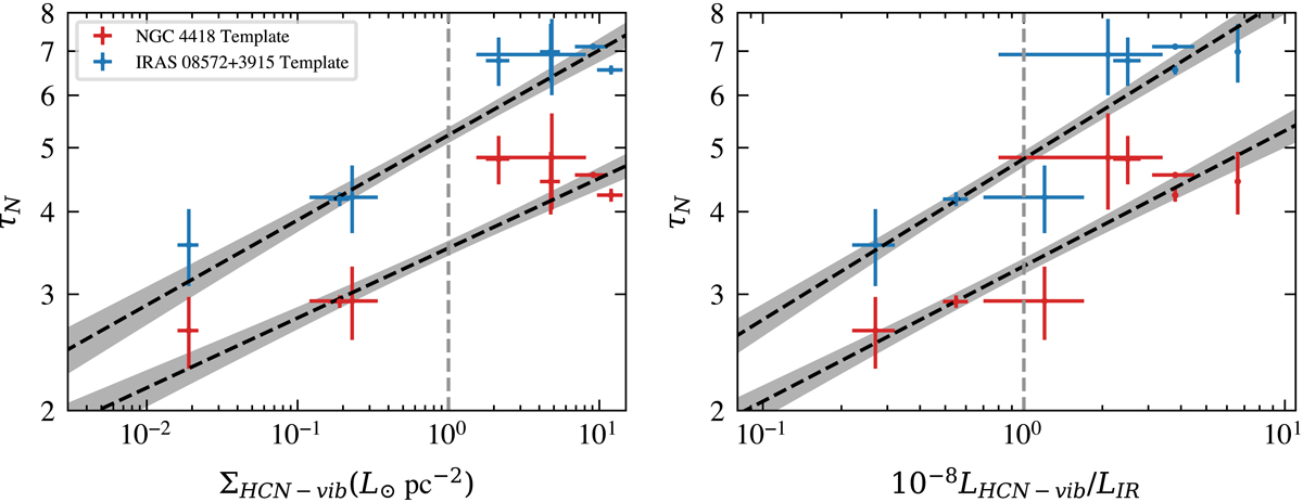
Fig. B.1.

Download original image
Comparison of the measured nuclear optical depths of the CONquest sample with different silicate templates. In red are the measured τN against the surface density of HCN-vib (left) and HCN-vib luminosity to LIR (right) using the NGC 4418 profile. In blue are the results using the template from IRAS 08572+3915.
Current usage metrics show cumulative count of Article Views (full-text article views including HTML views, PDF and ePub downloads, according to the available data) and Abstracts Views on Vision4Press platform.
Data correspond to usage on the plateform after 2015. The current usage metrics is available 48-96 hours after online publication and is updated daily on week days.
Initial download of the metrics may take a while.