Open Access

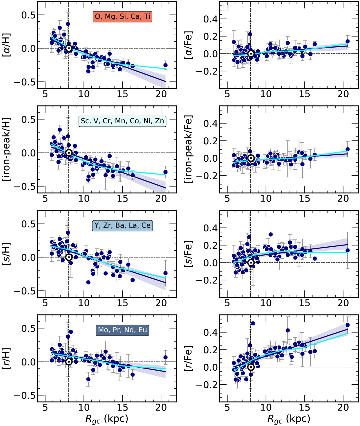
Fig. 2.

image

Download original image

Radial elemental gradients and average abundances for elements belonging to five nucleosynthesis channels as a function of RGC. The blue lines are the linear regression model fits, and the translucent bands around the regression lines are the confidence intervals for the regression estimate. The cyan curves are the lowess models.

Current usage metrics show cumulative count of Article Views (full-text article views including HTML views, PDF and ePub downloads, according to the available data) and Abstracts Views on Vision4Press platform.

Data correspond to usage on the plateform after 2015. The current usage metrics is available 48-96 hours after online publication and is updated daily on week days.

Initial download of the metrics may take a while.