Open Access

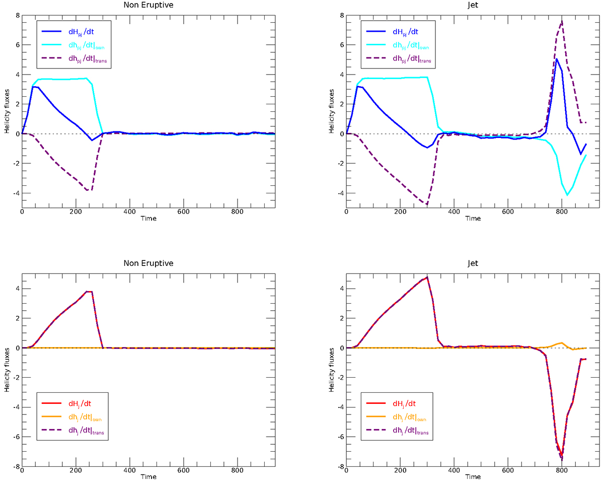
Fig. 5.

image

Download original image

Evolution of the terms of the time variation equation of Hpj (Eq. (18), top panels) and Hj (Eq. (17), bottom panels) for the non-eruptive (left column) and the jet-producing (right column) simulations: dHpj/dt (blue line), dHpj/dt|Own (cyan line), dHj/dt (red line), dHj/dt|Own (orange line), and dHpj/dt|Trans = −dHpj/dt|Trans (dashed purple lines).

Current usage metrics show cumulative count of Article Views (full-text article views including HTML views, PDF and ePub downloads, according to the available data) and Abstracts Views on Vision4Press platform.

Data correspond to usage on the plateform after 2015. The current usage metrics is available 48-96 hours after online publication and is updated daily on week days.

Initial download of the metrics may take a while.