Fig. 2.

Download original image
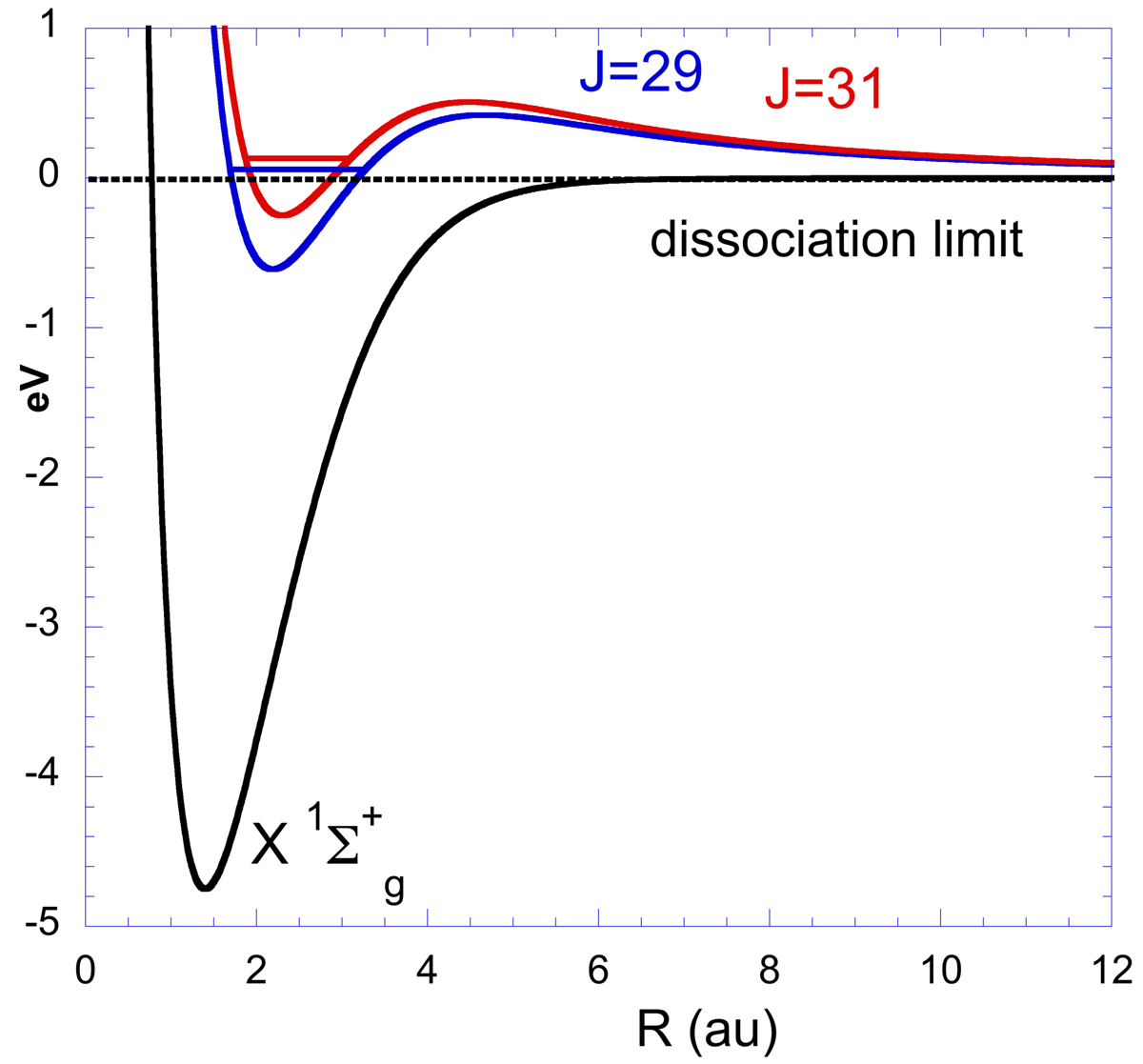
H2 molecular potentials in eV as a function of the interatomic distance, R, expressed in atomic units. The zero value corresponds to photo-dissociated H2. The black curve is the electronic potential of the ground state from Czachorowski et al. (2018) expressed in eV. The blue and red curves denote the effective potentials with J = 29 and J = 31, respectively. The quasi-bound levels v = 2, J = 29 and v = 1, J = 31 are also displayed in blue and red, respectively, in the allowed ranges of interatomic distances.
Current usage metrics show cumulative count of Article Views (full-text article views including HTML views, PDF and ePub downloads, according to the available data) and Abstracts Views on Vision4Press platform.
Data correspond to usage on the plateform after 2015. The current usage metrics is available 48-96 hours after online publication and is updated daily on week days.
Initial download of the metrics may take a while.