Open Access
Fig. 2.

Download original image
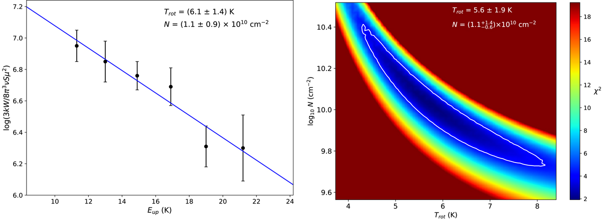
Excitation analysis of NC4NH+ in TMC-1. In the left panel we show the rotation diagram and in the right panel we show the χ2 resulting from a LTE calculation, where the contour corresponds to the 1σ level. The rotational temperature and column density derived through the two methods are very similar.
Current usage metrics show cumulative count of Article Views (full-text article views including HTML views, PDF and ePub downloads, according to the available data) and Abstracts Views on Vision4Press platform.
Data correspond to usage on the plateform after 2015. The current usage metrics is available 48-96 hours after online publication and is updated daily on week days.
Initial download of the metrics may take a while.