Free Access

Fig. 5

image

Download original image

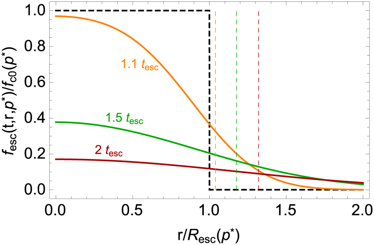
Distribution of escaping particles at one arbitrary fixed momentum, p* = 10 TeV, as a function of the radial coordinate normalised to Resc(p*) = 13 pc. Different lines refer to different times in units of tesc(p*) = 4000 yr, as labelled, and the vertical dashed lines correspond to the shock positions at those times. We assume Dout = DGal/100, δ = 2.2, and pM = 100 TeV.

Current usage metrics show cumulative count of Article Views (full-text article views including HTML views, PDF and ePub downloads, according to the available data) and Abstracts Views on Vision4Press platform.

Data correspond to usage on the plateform after 2015. The current usage metrics is available 48-96 hours after online publication and is updated daily on week days.

Initial download of the metrics may take a while.