Open Access

This article has an erratum: [https://doi.org/10.1051/0004-6361/202449183e]


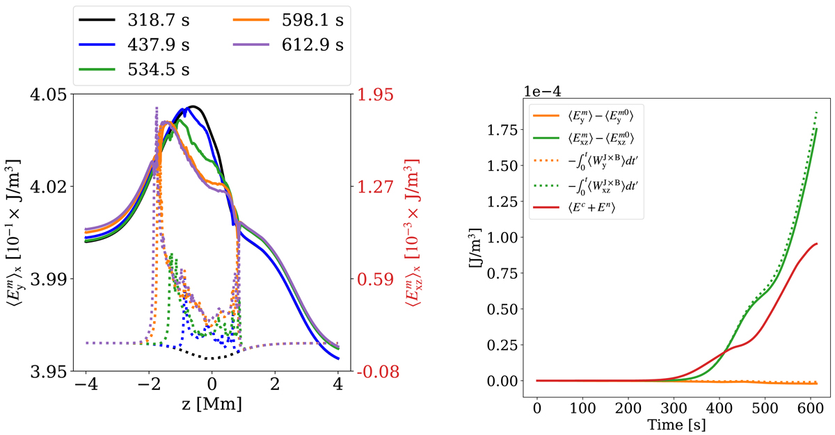
Fig. 2.

image

Download original image

Magnetic energy. Left panel: out-of-plane magnetic energy component (solid lines, values on the left axis) and the in-plane magnetic energy (dotted lines, values on the right axis), as a function of height at several time moments. The values are averaged in horizontal direction. Right panel: time evolution of the spatially averaged in-plane magnetic energy (green solid line), out-of-plane magnetic energy (orange solid line), and the sum of the kinetic energies of charges and neutrals (red line), taken with respect to t = 0 values. Green dotted and orange dotted lines show the force working against the Lorentz force by the in-plane and out-of-plane magnetic field components, correspondingly.

Current usage metrics show cumulative count of Article Views (full-text article views including HTML views, PDF and ePub downloads, according to the available data) and Abstracts Views on Vision4Press platform.

Data correspond to usage on the plateform after 2015. The current usage metrics is available 48-96 hours after online publication and is updated daily on week days.

Initial download of the metrics may take a while.