Open Access

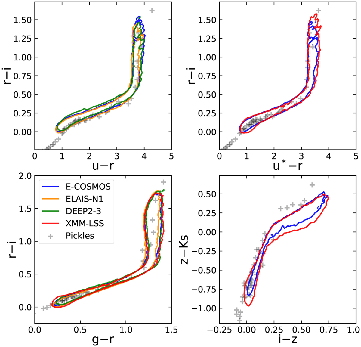
Fig. 8

image

Download original image

Color-color density contours of stars in the different fields computed from the hscPipe PSF photometry. The contours enclose 68% of the stellar loci. The crosses show the positions of main sequence stars from the Pickles library in these color–color diagrams. The offset between templates and observed loci indicates the need of proper extinction and zero-point corrections, which are applied in Sect. 4.

Current usage metrics show cumulative count of Article Views (full-text article views including HTML views, PDF and ePub downloads, according to the available data) and Abstracts Views on Vision4Press platform.

Data correspond to usage on the plateform after 2015. The current usage metrics is available 48-96 hours after online publication and is updated daily on week days.

Initial download of the metrics may take a while.