Open Access

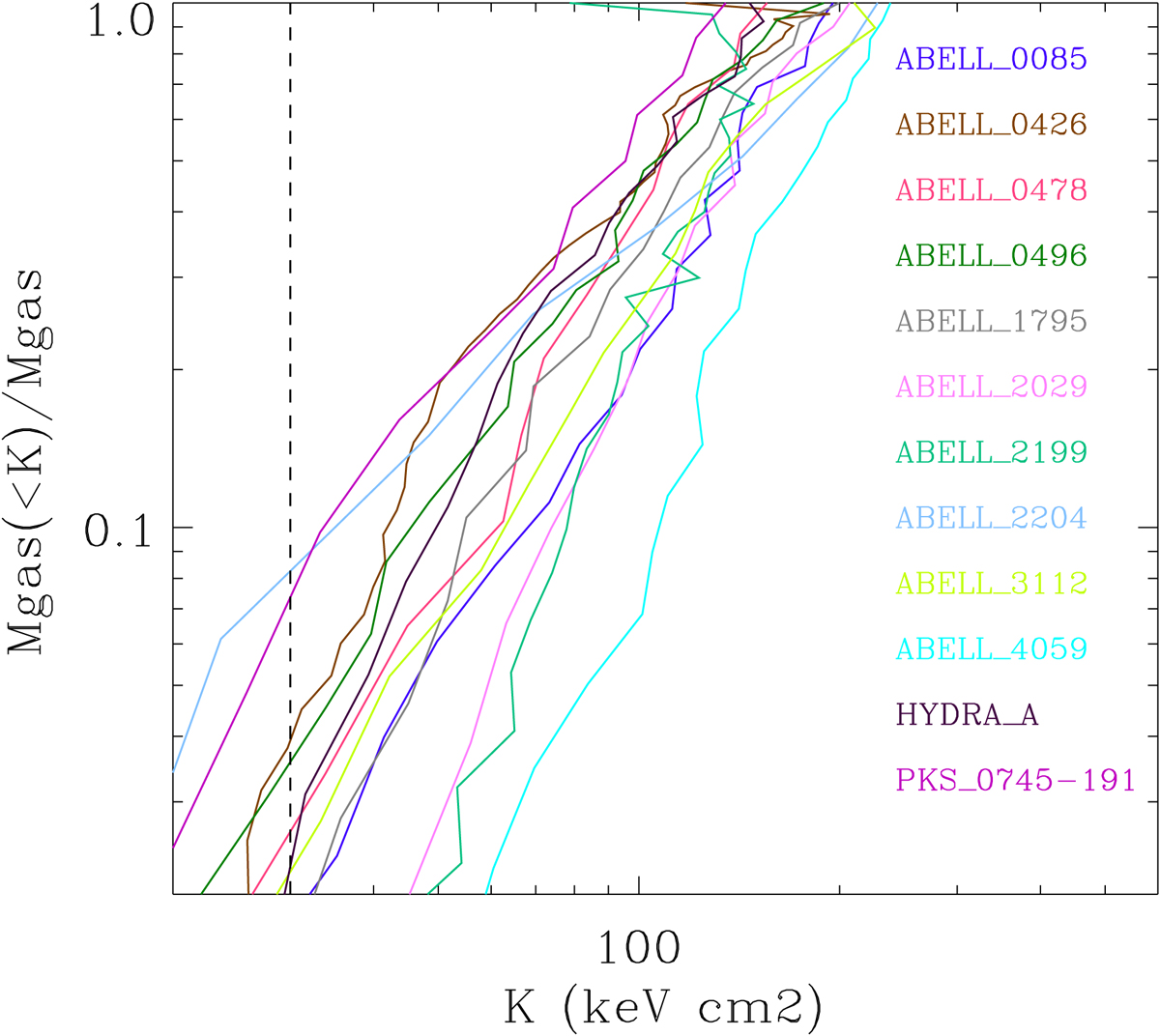
Fig. 6.

image

Download original image

Normalized cumulative gas mass versus entropy for 12 CC systems extracted from the ACCEPT sample. For all these systems the minimum entropy is smaller than 30 keV cm2. The gas mass is normalized to the total gas mass. The dashed vertical line corresponds to K = 30 keV cm2. Note that only CC objects are expected to have mass distributions extending below this entropy. There are a few systems, i.e. A4059,A2199 and A2029, that have less than 1% of their gas mass with K <  30 keV cm2 and which do not cross the threshold within the boundaries of this plot.

Current usage metrics show cumulative count of Article Views (full-text article views including HTML views, PDF and ePub downloads, according to the available data) and Abstracts Views on Vision4Press platform.

Data correspond to usage on the plateform after 2015. The current usage metrics is available 48-96 hours after online publication and is updated daily on week days.

Initial download of the metrics may take a while.