Press Release
Open Access

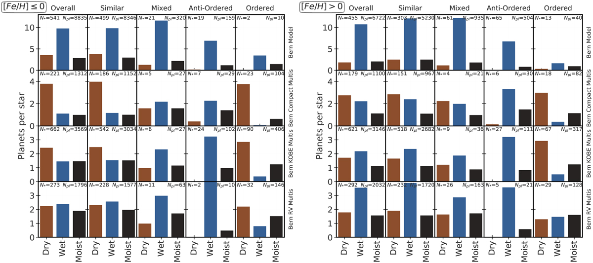
Fig. 13

image

Download original image

Frequency of planets. This diagram shows the average planet per star for dry, wet, and moist planets in several catalogues (rows), across several architecture classes (columns), and around low (left) and high (right) metallicity stars. The planet per star is simply the total number of planets divided by the total number of stars, after appropriate filters for metallicity, catalogue, or architecture.

Current usage metrics show cumulative count of Article Views (full-text article views including HTML views, PDF and ePub downloads, according to the available data) and Abstracts Views on Vision4Press platform.

Data correspond to usage on the plateform after 2015. The current usage metrics is available 48-96 hours after online publication and is updated daily on week days.

Initial download of the metrics may take a while.