Open Access

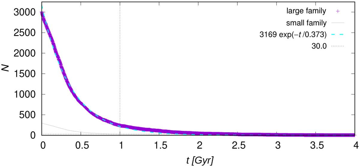
Fig. 8

image

Download original image

Dynamical decay of the putative Cybele family. The number of objects (N) decreases with time t. An approximating exponential function with timescale τ = 0.37 Gyr is plotted. We consider the family to be definitely no longer observable when N decreases below about 30. This is especially true considering that the orbits of the family members are dispersed in the same way as those of the background population.

Current usage metrics show cumulative count of Article Views (full-text article views including HTML views, PDF and ePub downloads, according to the available data) and Abstracts Views on Vision4Press platform.

Data correspond to usage on the plateform after 2015. The current usage metrics is available 48-96 hours after online publication and is updated daily on week days.

Initial download of the metrics may take a while.