Open Access

Fig. 1

image

Download original image

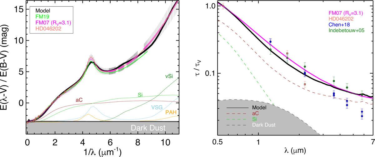
Reddening (left) and extinction (right) of the diffuse ISM (Fitzpatrick & Massa 2007; Fitzpatrick et al. 2019; Indebetouw et al. 2005; Chen et al. 2018) and of HD 046202 (Gordon et al. 2009). Model (black) with µm (Table 1) and individual dust components as labelled. The area in grey shows the contribution of the dark dust.

Current usage metrics show cumulative count of Article Views (full-text article views including HTML views, PDF and ePub downloads, according to the available data) and Abstracts Views on Vision4Press platform.

Data correspond to usage on the plateform after 2015. The current usage metrics is available 48-96 hours after online publication and is updated daily on week days.

Initial download of the metrics may take a while.