Open Access

Fig. 11

image

Download original image

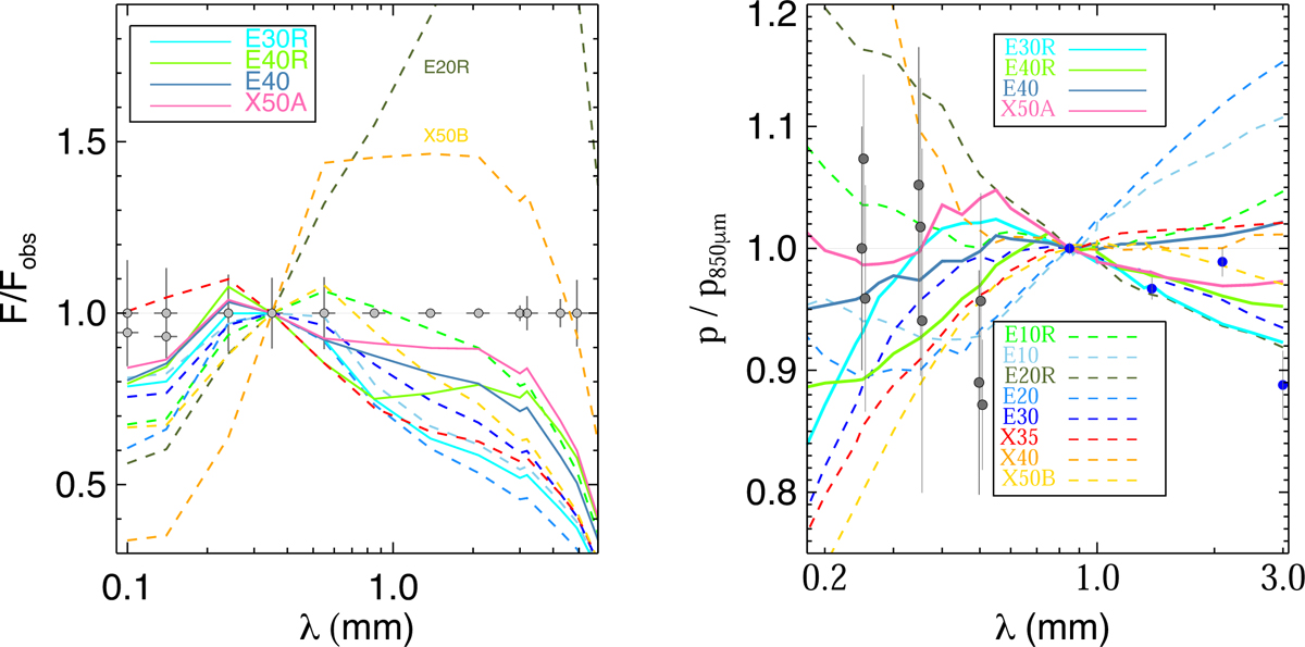
Flux ratio of the observed photometry (left) and the polarised emission spectrum (right) with the data of Figs. 2 and 8, respectively. Models using the Demyk et al. (2022) optical constants (as labelled) that do not fit the polarised emission spectrum are shown by dashed lines and by a full line otherwise.

Current usage metrics show cumulative count of Article Views (full-text article views including HTML views, PDF and ePub downloads, according to the available data) and Abstracts Views on Vision4Press platform.

Data correspond to usage on the plateform after 2015. The current usage metrics is available 48-96 hours after online publication and is updated daily on week days.

Initial download of the metrics may take a while.