Open Access

Fig. 7

image

Download original image

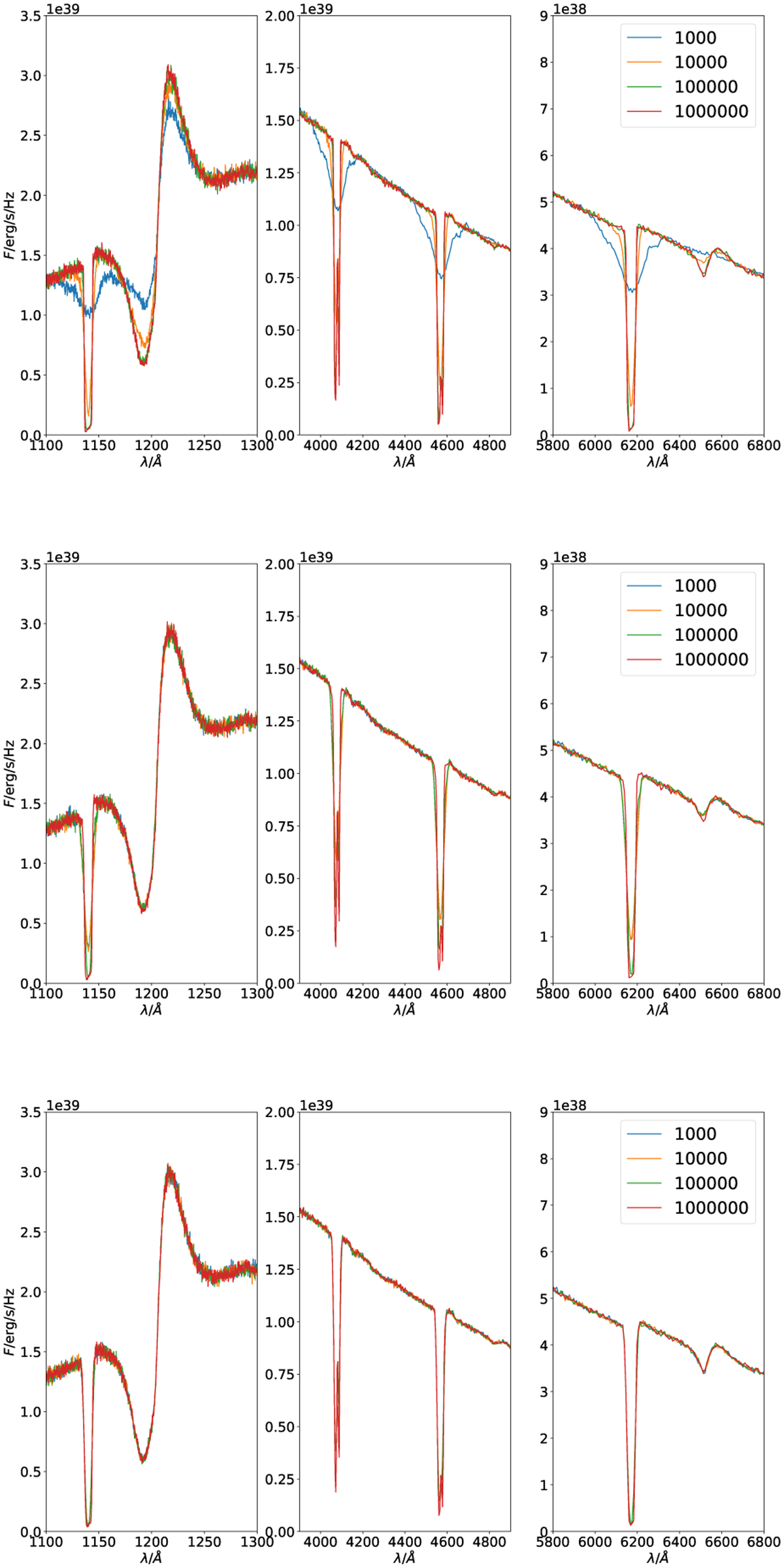
Comparison of spectra calculated with different propGrids in the case of the double peak density profile. Upper panels: the one-level type of the propagation grid with the number of the virtual points as a parameter, 10 × 10 × 10 basic grid. Middle panels: one-level grid type, 50 × 50 × 50 basic grid. Lower panels: one-level grid type, 100 × 100 × 100 basic grid.

Current usage metrics show cumulative count of Article Views (full-text article views including HTML views, PDF and ePub downloads, according to the available data) and Abstracts Views on Vision4Press platform.

Data correspond to usage on the plateform after 2015. The current usage metrics is available 48-96 hours after online publication and is updated daily on week days.

Initial download of the metrics may take a while.