Fig. 6.

Download original image
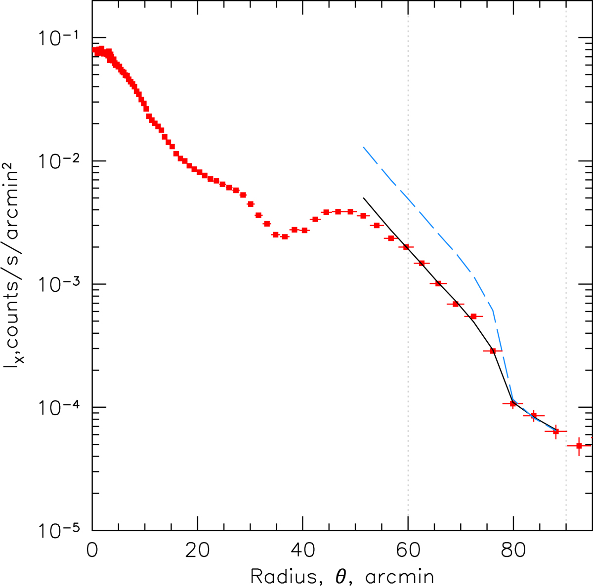
Fit to the relic surface brightness profile with a broken power-law gas-density profile. The best-fitting edge position is at 79′. At the edge the density changes by a factor of ≈2.18, which in the gas with adiabatic index 5/3 corresponds to the shock Mach number M ≈ 1.9. For comparison, the blue dashed curve shows the same model for M = 3.5 that is needed to explain the slope of the relic integrated radio spectrum (under the standard set of assumptions). This model is clearly excluded by the data.
Current usage metrics show cumulative count of Article Views (full-text article views including HTML views, PDF and ePub downloads, according to the available data) and Abstracts Views on Vision4Press platform.
Data correspond to usage on the plateform after 2015. The current usage metrics is available 48-96 hours after online publication and is updated daily on week days.
Initial download of the metrics may take a while.