Fig. 9.

Download original image
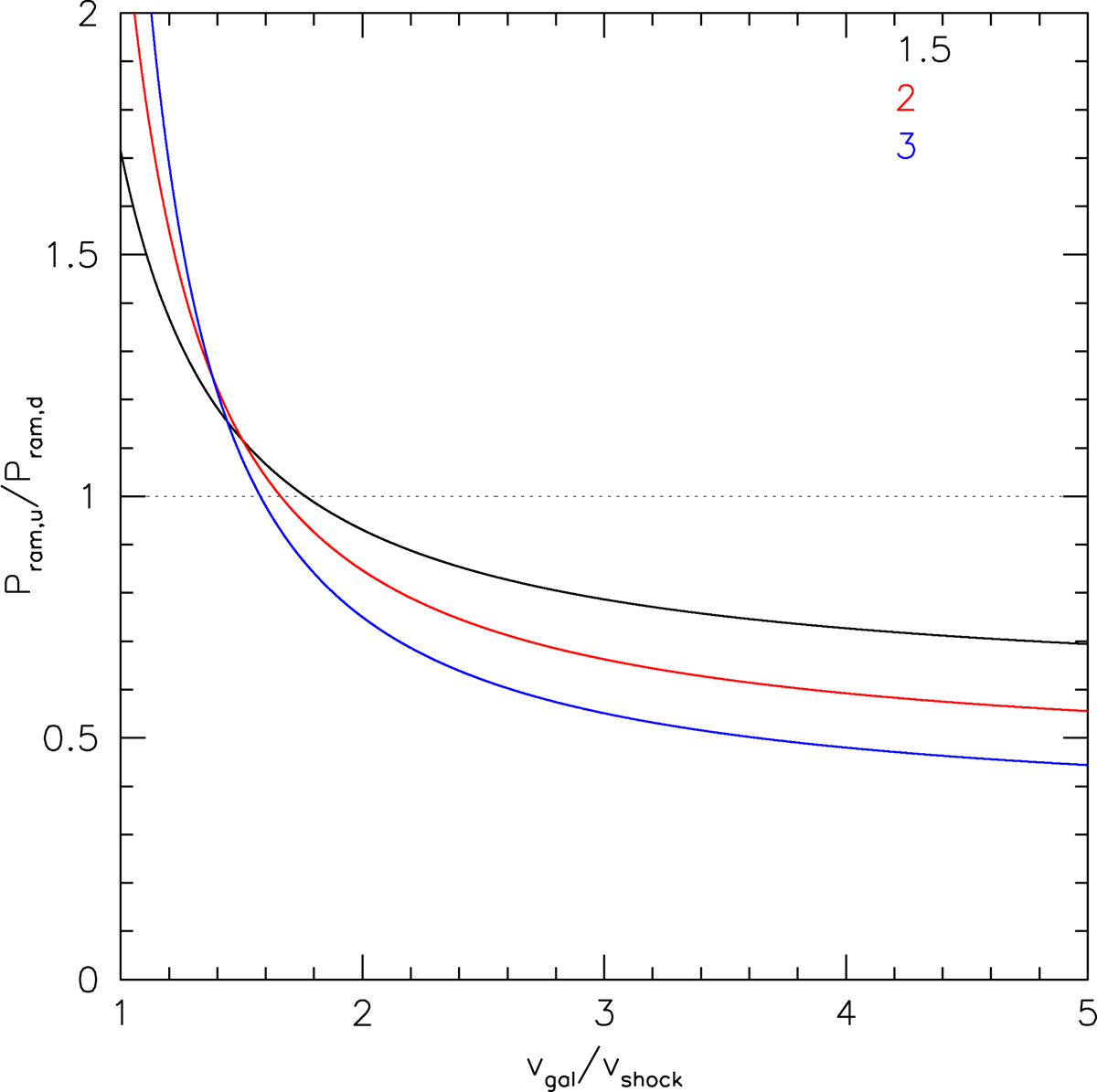
Ratio of ram pressures upstream and downstream to the shock for a galaxy moving in the same direction, but faster than the shock. For the galaxy velocity smaller than ∼1.5 times the shock velocity, the ram pressure increases when the galaxy takes over the shock (here, the upstream gas is assumed to be at rest). For a radio-galaxy with a bent tail, this means that the tail becomes narrower. For higher velocities, the tail becomes wider instead. The three curves represent M = 1.5, 2, 3 (black, red, and blue, respectively).
Current usage metrics show cumulative count of Article Views (full-text article views including HTML views, PDF and ePub downloads, according to the available data) and Abstracts Views on Vision4Press platform.
Data correspond to usage on the plateform after 2015. The current usage metrics is available 48-96 hours after online publication and is updated daily on week days.
Initial download of the metrics may take a while.