Open Access

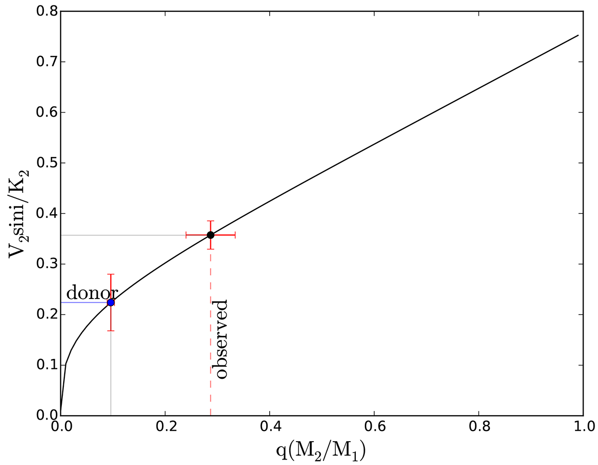
Fig. 17.

image

Download original image

Test for donor synchronization. Solid black line is given by Eq. (6). The dashed red line represents the obtained mass ratio (q = 0.287) from RVs analysis (synchronous) and the continuum blue line represents the suggested mass ratio (qtheo. = 0.096) given by Eq. (6) (sub-synchronous).

Current usage metrics show cumulative count of Article Views (full-text article views including HTML views, PDF and ePub downloads, according to the available data) and Abstracts Views on Vision4Press platform.

Data correspond to usage on the plateform after 2015. The current usage metrics is available 48-96 hours after online publication and is updated daily on week days.

Initial download of the metrics may take a while.