Open Access

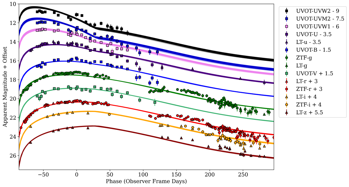
Fig. 16.

image

Download original image

Multi-band light curve of SN 2020qlb inferred from the magnetar-model, with bands offset for clarity. The colored lines show the range of most likely models generated by MOSFiT. Phase = 0 is where the ZTF g-band is maximized in the observer frame (MJD 59140.0).

Current usage metrics show cumulative count of Article Views (full-text article views including HTML views, PDF and ePub downloads, according to the available data) and Abstracts Views on Vision4Press platform.

Data correspond to usage on the plateform after 2015. The current usage metrics is available 48-96 hours after online publication and is updated daily on week days.

Initial download of the metrics may take a while.