Open Access

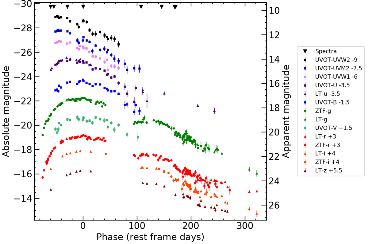
Fig. 2.

image

Download original image

Absolute magnitude (rest frame) light curves from ∼1800 to 18500 Å, including the Liverpool Telescope SDSS filters as triangles, the Swift UVOT filters as squares and the ZTF filters as circles. The black triangles at the top indicate the phases of available spectra. Phase = 0 (at peak ZTF g-band) is estimated in Sect. 3.2. The light curves in the different bands were shifted for illustration purposes.

Current usage metrics show cumulative count of Article Views (full-text article views including HTML views, PDF and ePub downloads, according to the available data) and Abstracts Views on Vision4Press platform.

Data correspond to usage on the plateform after 2015. The current usage metrics is available 48-96 hours after online publication and is updated daily on week days.

Initial download of the metrics may take a while.