Open Access

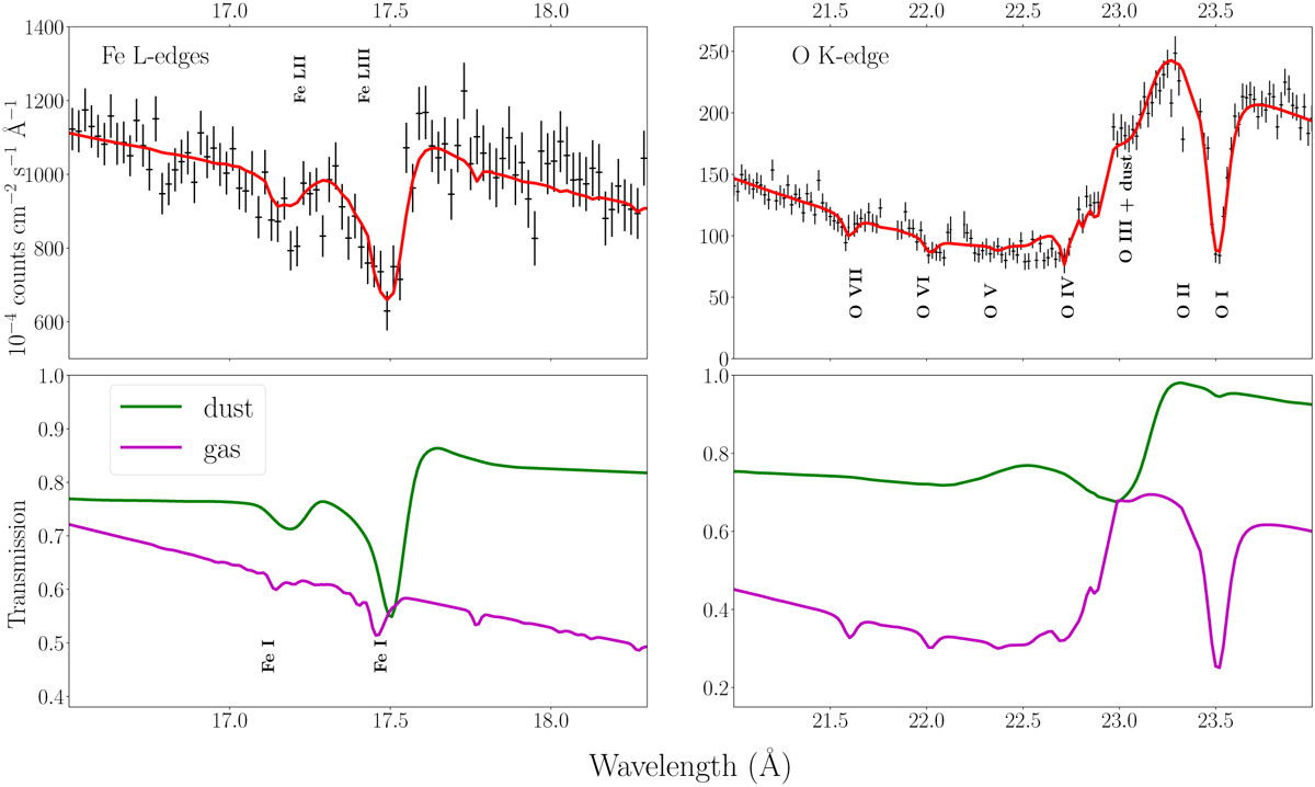
Fig. 4

image

Download original image

Best fit in the O K- and Fe L-edges for SWIFT J1910.2–0546 and the relative transmission for the gas and dust components. The transmission of the gas has been multiplied by factors of 2.5 and 4.5 for iron and oxygen, respectively, for display purposes.

Current usage metrics show cumulative count of Article Views (full-text article views including HTML views, PDF and ePub downloads, according to the available data) and Abstracts Views on Vision4Press platform.

Data correspond to usage on the plateform after 2015. The current usage metrics is available 48-96 hours after online publication and is updated daily on week days.

Initial download of the metrics may take a while.