Open Access

Fig. 5

image

Download original image

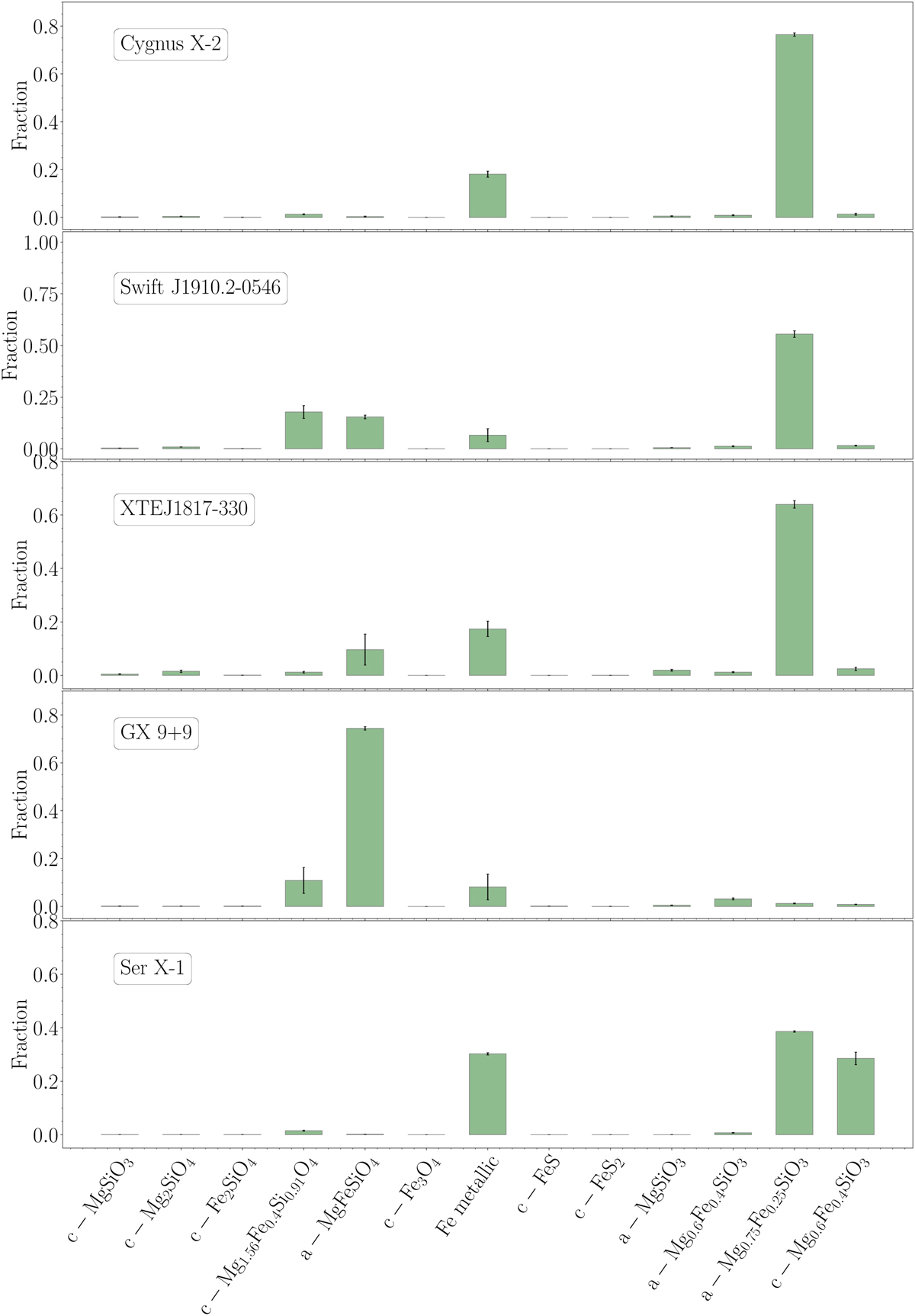
Relative fraction of column density for each dust compound. The fraction was calculated considering models with ΔAIC < 4. The symbol a refers to amorphous compounds and c to crystalline. The errors on the bar charts are an indication of the minimum and maximum percentage of each compound within the ΔAIC < 4 selected models. For the least significant compounds, the reported values are an indication of an upper limit.

Current usage metrics show cumulative count of Article Views (full-text article views including HTML views, PDF and ePub downloads, according to the available data) and Abstracts Views on Vision4Press platform.

Data correspond to usage on the plateform after 2015. The current usage metrics is available 48-96 hours after online publication and is updated daily on week days.

Initial download of the metrics may take a while.