Open Access

Fig. 13

image

Download original image

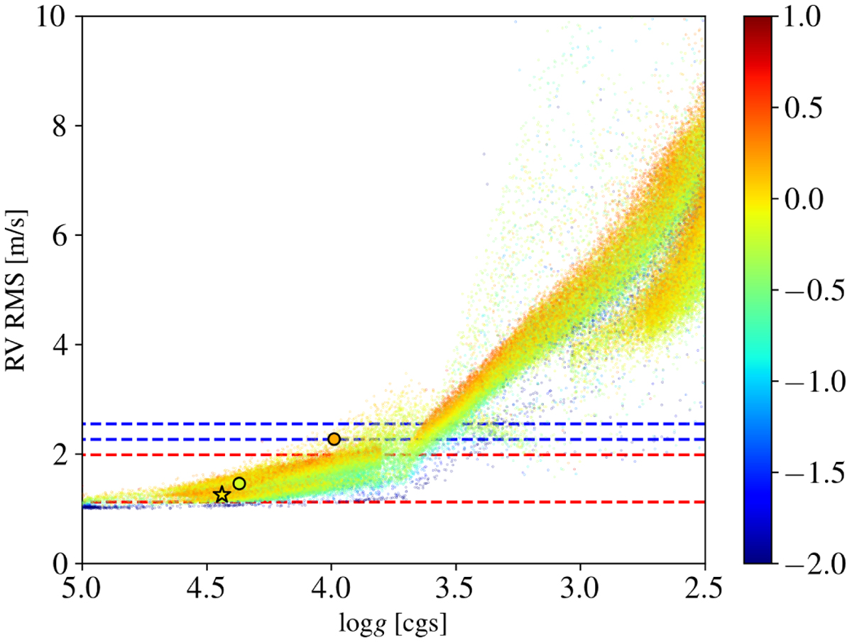
Radial velocity RMS as a function of the stellar surface gravity. Individual small dots represent the values for the 129 055 stars of the APOGEE sample studied in Tayar et al. (2019). For this stellar sample, the RV RMS was computed based on Eq. (7) (Cegla et al. 2014). The two big dots represent the RV RMS predicted from Eq. (7) for HD 67458 and HD 88595. The star symbol represents the RV RMS predicted from Eq. (7) for the Sun. The color code for all targets represents the stellar metallicity [Fe/H]. The blue and red horizontal dashed lines show the RV RMS values inferred from ESPRESSO observations of HD 88595 and HD 67458, respectively.

Current usage metrics show cumulative count of Article Views (full-text article views including HTML views, PDF and ePub downloads, according to the available data) and Abstracts Views on Vision4Press platform.

Data correspond to usage on the plateform after 2015. The current usage metrics is available 48-96 hours after online publication and is updated daily on week days.

Initial download of the metrics may take a while.