Open Access

Fig. 16

image

Download original image

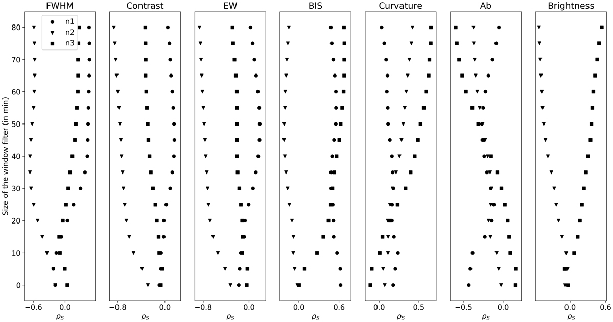
HD 67458 correlation strengths for the relationship between (ESPRESSO) CCF shape indicator (FWHM, contrast, equivalent width [EW], BIS, bisector curvature, bisector amplitude [Ab]) or (CHEOPS) flux and RV, as determined by a Spearman’s rank correlation test, for various Butterworth filter cutoff frequencies for each night (n1, n2, and n3) as indicated by marker style. CHEOPS data (last column) was interpolated onto the ESPRESSO timestamps prior to filtering; no simultaneous observations were performed during n1.

Current usage metrics show cumulative count of Article Views (full-text article views including HTML views, PDF and ePub downloads, according to the available data) and Abstracts Views on Vision4Press platform.

Data correspond to usage on the plateform after 2015. The current usage metrics is available 48-96 hours after online publication and is updated daily on week days.

Initial download of the metrics may take a while.