Open Access

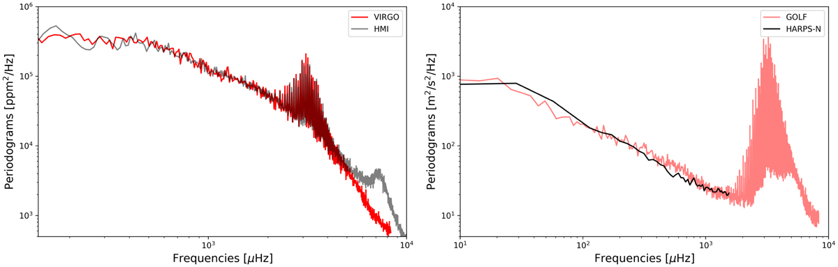
Fig. C.1

image

Download original image

Comparison of averaged periodograms from VIRGO and HMI observations (left), and from GOLF and HARPS-N observations (right). Note the instrumental artifact affecting the high frequencies (v ~ 7000 µHz) in HMI data.

Current usage metrics show cumulative count of Article Views (full-text article views including HTML views, PDF and ePub downloads, according to the available data) and Abstracts Views on Vision4Press platform.

Data correspond to usage on the plateform after 2015. The current usage metrics is available 48-96 hours after online publication and is updated daily on week days.

Initial download of the metrics may take a while.