Open Access

Fig. 6

image

Download original image

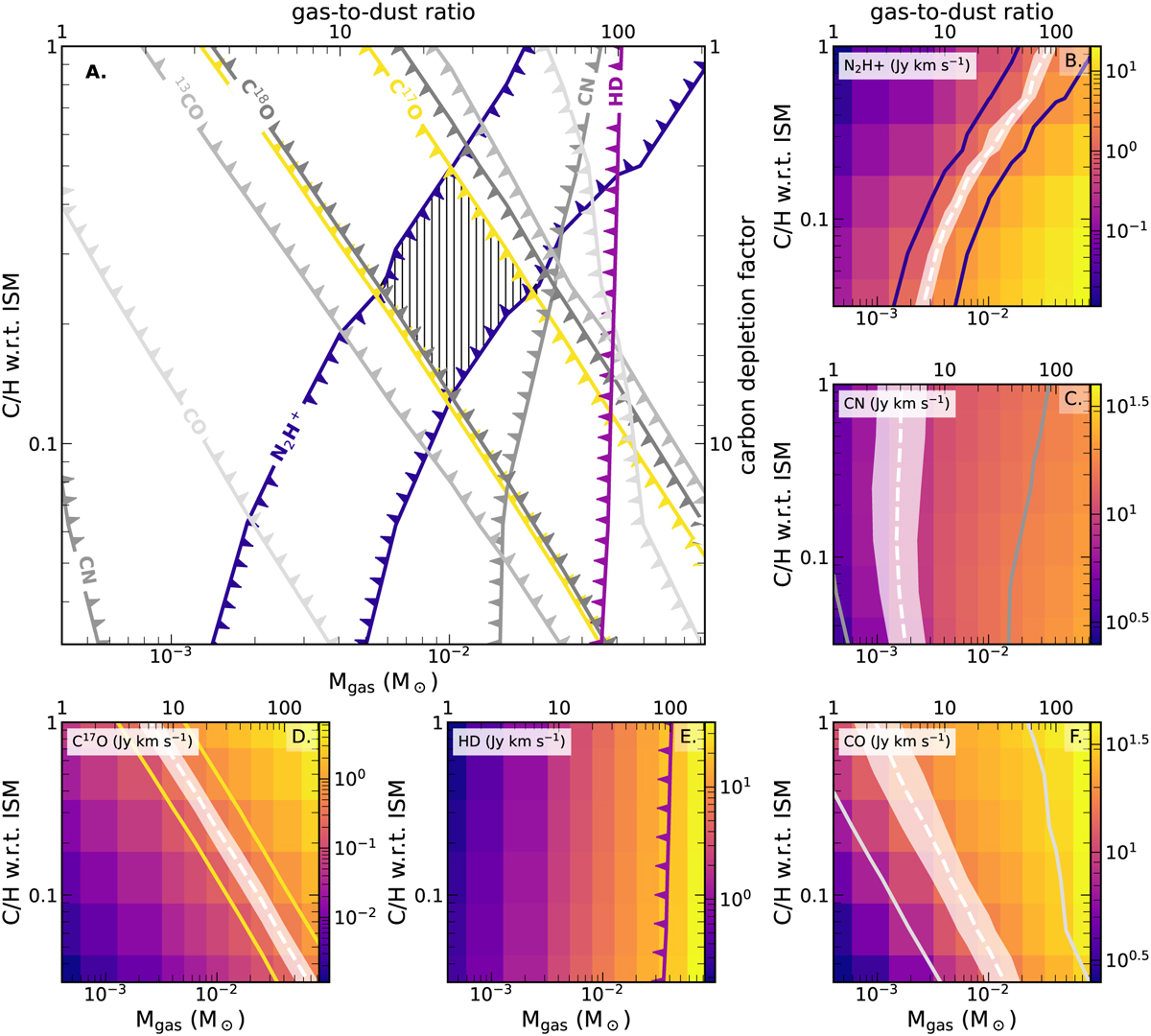
Results of the 10 × 6 model grid with carbon abundance versus disk gas mass. Panel A shows the limits on C/H and Mgas for each emission line, assuming a model uncertainty of a factor of 2. The hashed region denotes the parameter space that matches with all the observed emission lines. Panels B–F show the line flux of key C/H abundance and gas mass tracers N2H+, CN, C17O, HD, and 12CO, respectively, for the same grid of models. The white contours depict the observed flux with observational uncertainty in shaded region. The colored contours mark an average deviation of the model by a factor of 2, the same as in the main panel. The HD observation denotes an upper limit.

Current usage metrics show cumulative count of Article Views (full-text article views including HTML views, PDF and ePub downloads, according to the available data) and Abstracts Views on Vision4Press platform.

Data correspond to usage on the plateform after 2015. The current usage metrics is available 48-96 hours after online publication and is updated daily on week days.

Initial download of the metrics may take a while.