Open Access

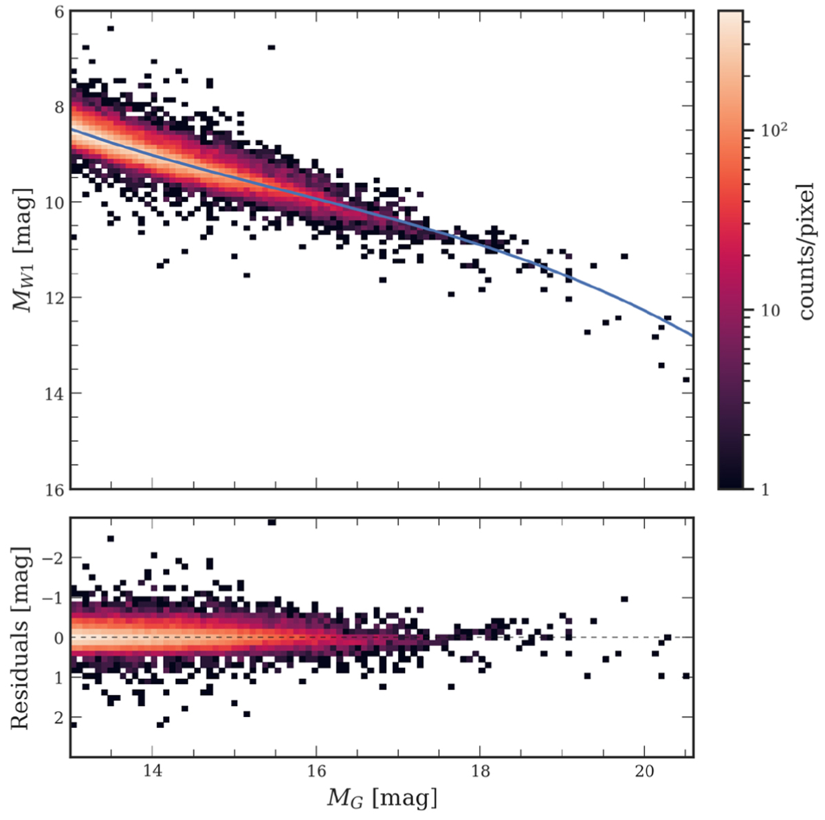
Fig. 9

image

Download original image

Relation between absolute magnitude in G and W1 bands for the main-sequence stars fainter than MG = 13.0 mag. The solid blue line is the approximate relation in Eq. (9).

Current usage metrics show cumulative count of Article Views (full-text article views including HTML views, PDF and ePub downloads, according to the available data) and Abstracts Views on Vision4Press platform.

Data correspond to usage on the plateform after 2015. The current usage metrics is available 48-96 hours after online publication and is updated daily on week days.

Initial download of the metrics may take a while.