Open Access

Fig. 4.

image

Download original image

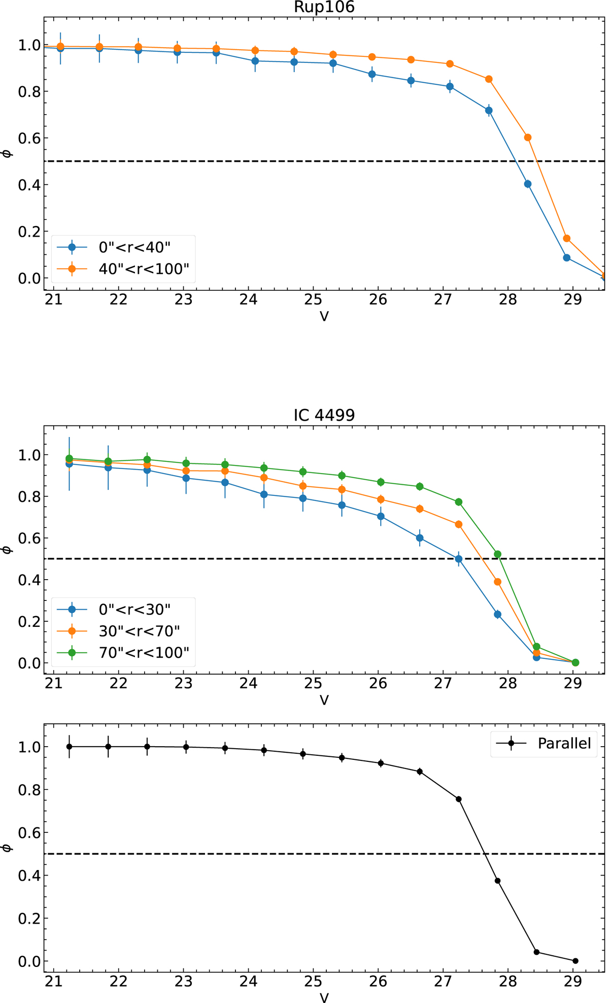
Photometric completeness (ϕ) as a function of V for the ACS data of Rup 106 (upper panel) and for the ACS and WFC3 parallel observations of IC 4499 (central and lower panels).

Current usage metrics show cumulative count of Article Views (full-text article views including HTML views, PDF and ePub downloads, according to the available data) and Abstracts Views on Vision4Press platform.

Data correspond to usage on the plateform after 2015. The current usage metrics is available 48-96 hours after online publication and is updated daily on week days.

Initial download of the metrics may take a while.