Open Access

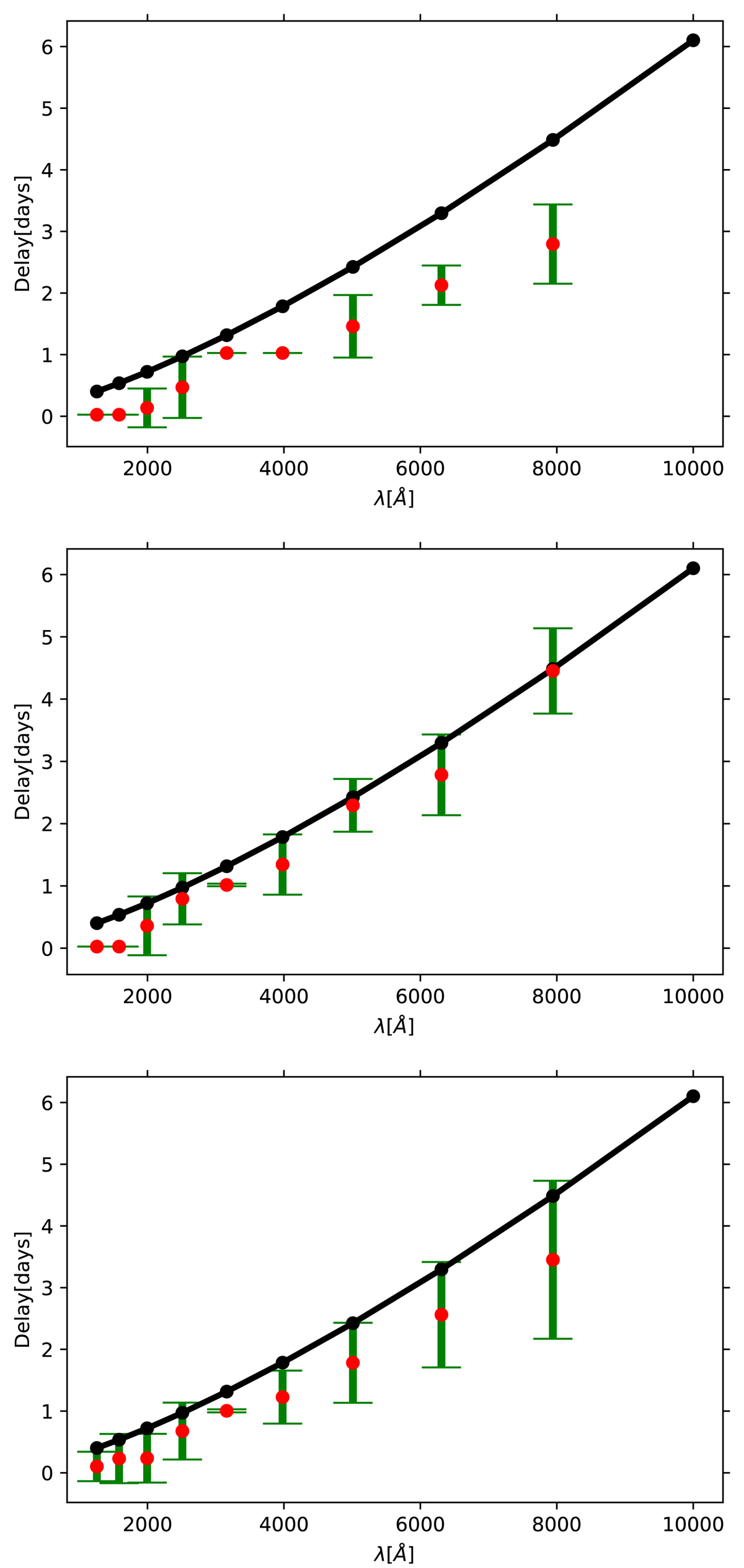
Fig. 11.

image

Download original image

Time delay as a function of the wavelength calculated with ICCF method from the artificial light curves for the frequency break corresponding to timescales of 7.5 day (upper panel), 75 days (second panel), and 750 days (third panel). Model parameters: black hole mass 108M, Eddington ratio = 1.0, corona height = 5rg, inclination angle = 30 degree, and luminosity is on the order of 1045 erg s−1. Black points and continuous line represents the delays expected from the disk response function.

Current usage metrics show cumulative count of Article Views (full-text article views including HTML views, PDF and ePub downloads, according to the available data) and Abstracts Views on Vision4Press platform.

Data correspond to usage on the plateform after 2015. The current usage metrics is available 48-96 hours after online publication and is updated daily on week days.

Initial download of the metrics may take a while.