Open Access

Fig. A.1.

image

Download original image

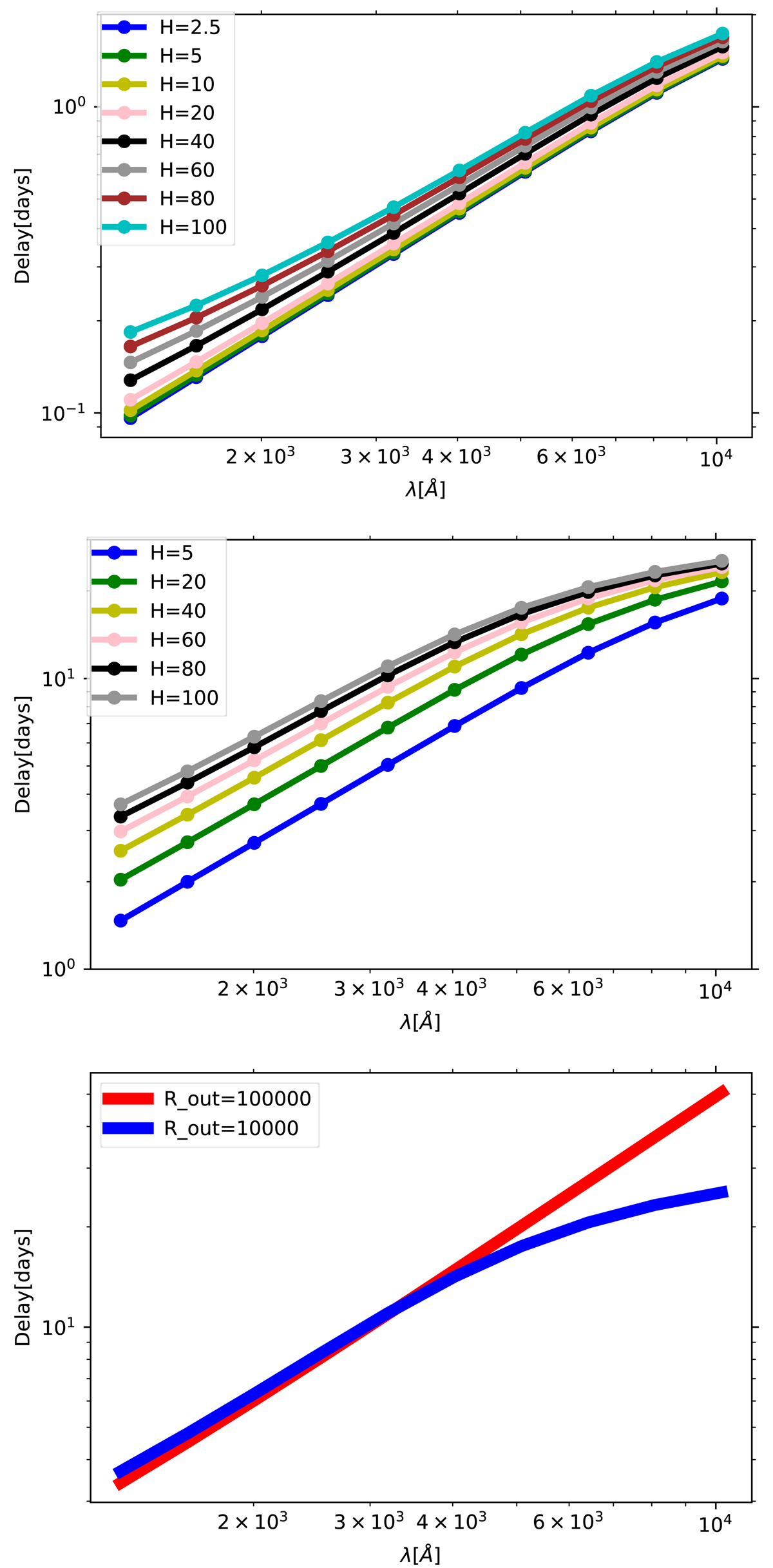
Comparision of delay plots. Upper panel: Delay curves from our code with the parameters: black hole mass = 107 M, Eddington Ratio = 0.05, inclination angle = 40 degrees, color correction = 2.4, and X-ray source luminosity = 1.26 × 1043 erg s−1. Middle panel: Black hole mass = 108 M, Eddington Ratio = 1.0, inclination angle = 30 degrees, color correction = 2.4, and X-ray luminosity = 3.78 × 1046 erg s−1. Lower panel: Same parameters as middle panel, only for corona height of 100Rg, but two different values of the disk outer radius.

Current usage metrics show cumulative count of Article Views (full-text article views including HTML views, PDF and ePub downloads, according to the available data) and Abstracts Views on Vision4Press platform.

Data correspond to usage on the plateform after 2015. The current usage metrics is available 48-96 hours after online publication and is updated daily on week days.

Initial download of the metrics may take a while.