Open Access

Fig. 6.

image

Download original image

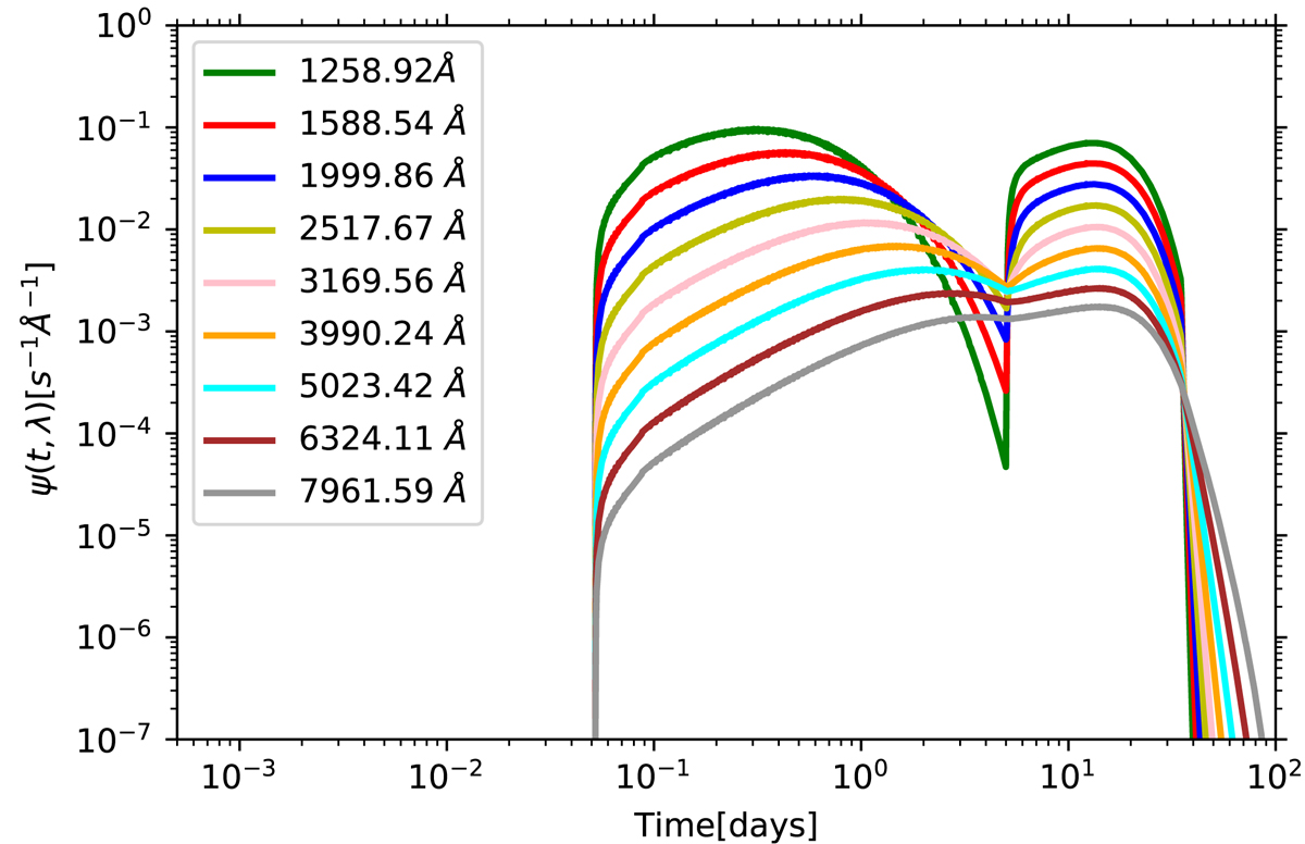
Combined response function, disk plus BLR, for BLR profile half-Gaussian (see middle panel in Fig. 2) at selected wavelengths. Parameters: black hole mass 108M, Eddington ratio = 1.0, LX = 1040 erg s−1, height h = 5rg, viewing angle i = 30 degree, fBLR = 30%.

Current usage metrics show cumulative count of Article Views (full-text article views including HTML views, PDF and ePub downloads, according to the available data) and Abstracts Views on Vision4Press platform.

Data correspond to usage on the plateform after 2015. The current usage metrics is available 48-96 hours after online publication and is updated daily on week days.

Initial download of the metrics may take a while.