Open Access

Fig. 6

image

Download original image

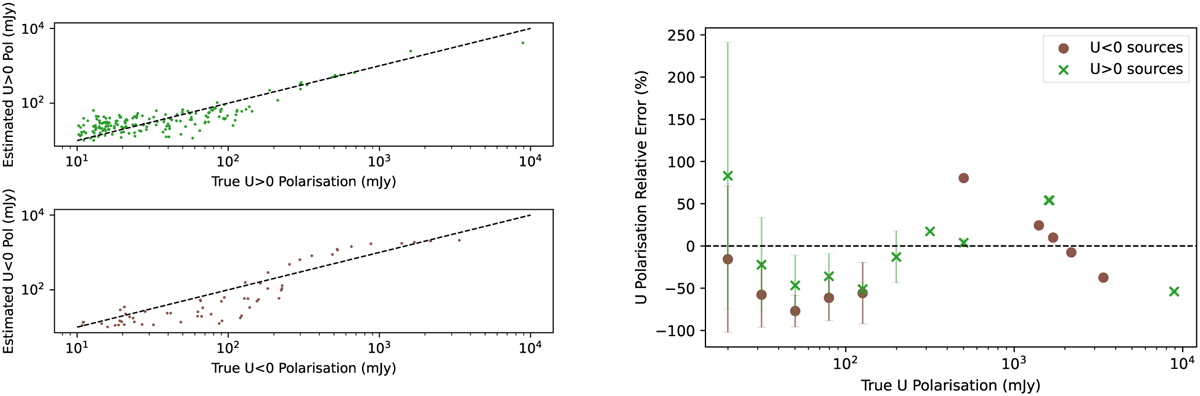
Estimation of polarisation flux density of U sources. Left panel: correlation between true and estimated U polarisation. The top part shows the U > 0 sources in green while the bottom part shows the U < 0 ones in brown. Right panel: U relative error against the polarisation flux of the validation catalogue. The error bars represent the uncertainty computed as the standard deviation of each bin. In both cases, the dashed black line shows the ideal case.

Current usage metrics show cumulative count of Article Views (full-text article views including HTML views, PDF and ePub downloads, according to the available data) and Abstracts Views on Vision4Press platform.

Data correspond to usage on the plateform after 2015. The current usage metrics is available 48-96 hours after online publication and is updated daily on week days.

Initial download of the metrics may take a while.