Open Access

Fig. 11.

image

Download original image

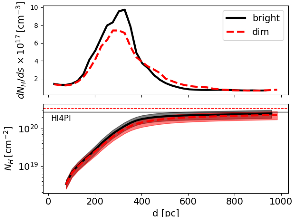
Observed extinction as a function of distance towards the bright and dim regions are shown with the black and red curves, respectively. Most of the absorption towards the dim region is located beyond ∼250 pc from the Sun.

Current usage metrics show cumulative count of Article Views (full-text article views including HTML views, PDF and ePub downloads, according to the available data) and Abstracts Views on Vision4Press platform.

Data correspond to usage on the plateform after 2015. The current usage metrics is available 48-96 hours after online publication and is updated daily on week days.

Initial download of the metrics may take a while.