Open Access

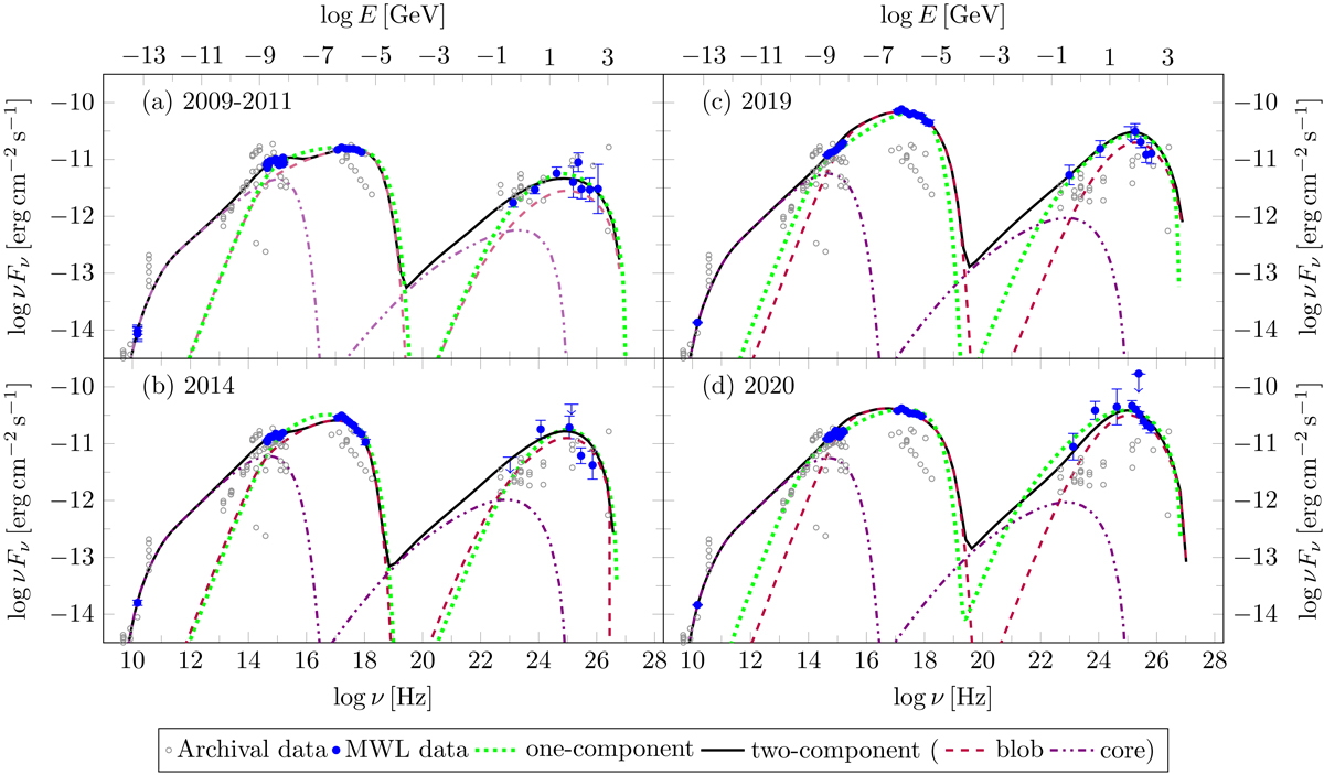
Fig. 6.

image

Download original image

Broadband SEDs of 1ES 0647+250 for the different observing campaigns described with one-component and two-component SSC emission models. Top left: 2009–2011. Bottom left: 2014. Top right: 2019. Bottom right: 2020. Filled blue dots correspond to the MWL simultaneous data of each period. Empty dots represent the archival data extracted from the SSDC database (https://www.ssdc.asi.it). The dotted lines correspond to the fitted one-component SSC model. Black lines represent the total two-component SSC model. The dashed and dotted-dashed lines correspond to the blob and core components of the two-component model, respectively.

Current usage metrics show cumulative count of Article Views (full-text article views including HTML views, PDF and ePub downloads, according to the available data) and Abstracts Views on Vision4Press platform.

Data correspond to usage on the plateform after 2015. The current usage metrics is available 48-96 hours after online publication and is updated daily on week days.

Initial download of the metrics may take a while.