Open Access

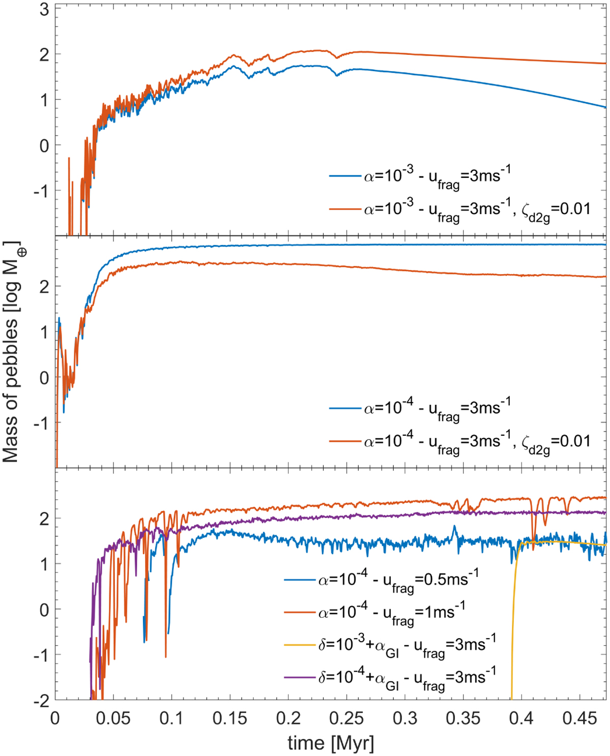
Fig. 9

image

Download original image

Total mass of pebbles in the disk as a function of time for all model realizations considered in this work. The top and middle panels consider the impact of a fixed dust-to-gas mass ratio on the estimates of pebble mass, while the bottom panel shows the results of the parameter space study.

Current usage metrics show cumulative count of Article Views (full-text article views including HTML views, PDF and ePub downloads, according to the available data) and Abstracts Views on Vision4Press platform.

Data correspond to usage on the plateform after 2015. The current usage metrics is available 48-96 hours after online publication and is updated daily on week days.

Initial download of the metrics may take a while.