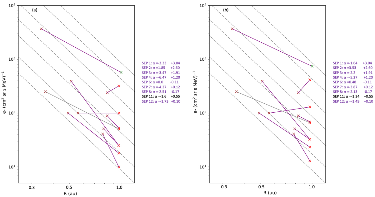
Fig. 10.

image

Download original image

Radial dependence of the near-relativistic electron intensities in SEE events measured by Solar Orbiter. (b) Same as in panel a, but including an interspacecraft calibration factor of 1.3 on the STEREO measurements. Details are given in Fig. 3 and in the text.

Current usage metrics show cumulative count of Article Views (full-text article views including HTML views, PDF and ePub downloads, according to the available data) and Abstracts Views on Vision4Press platform.

Data correspond to usage on the plateform after 2015. The current usage metrics is available 48-96 hours after online publication and is updated daily on week days.

Initial download of the metrics may take a while.