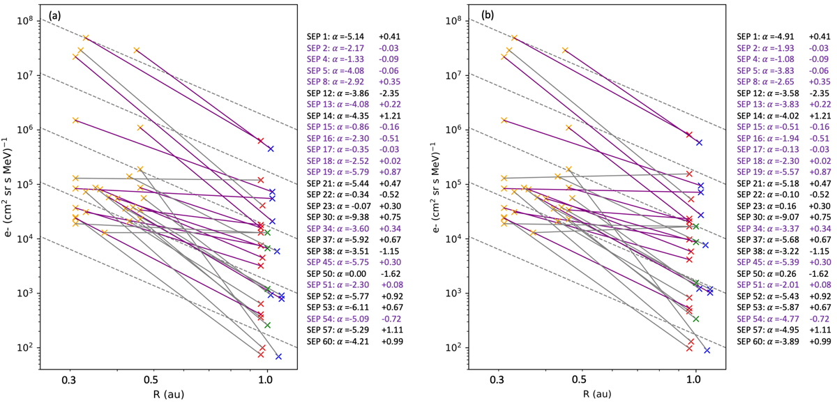
Fig. 3.

image

Download original image

Radial dependence of the quasi-relativistic electron intensities in SEE events measured by MESSENGER. (a) The lines connect the SEE events for which the longitudinal separation of the nominal footpoints of MESSENGER and the respective observation point near 1 au were ≤35°. The orange, red, blue, and green crosses indicate the peak intensities observed by MESSENGER, STEREO-A, STEREO-B, and ACE, respectively. The dashed lines indicate a R−3 radial dependence. The legend on the right indicates the α index if a radial dependence ∝Rα is assumed for each of the SEE events listed. The numbers next to each α index are corrections based on the small longitudinal effect (details given in the text). Purple indicates the subset of events where the separation of the nominal footpoints of MESSENGER and the respective spacecraft near 1 au were < 20°. (b) Same as panel a, but including an interspacecraft calibration factor of 1.3 on the STEREO measurements (details given in the text).

Current usage metrics show cumulative count of Article Views (full-text article views including HTML views, PDF and ePub downloads, according to the available data) and Abstracts Views on Vision4Press platform.

Data correspond to usage on the plateform after 2015. The current usage metrics is available 48-96 hours after online publication and is updated daily on week days.

Initial download of the metrics may take a while.