Open Access

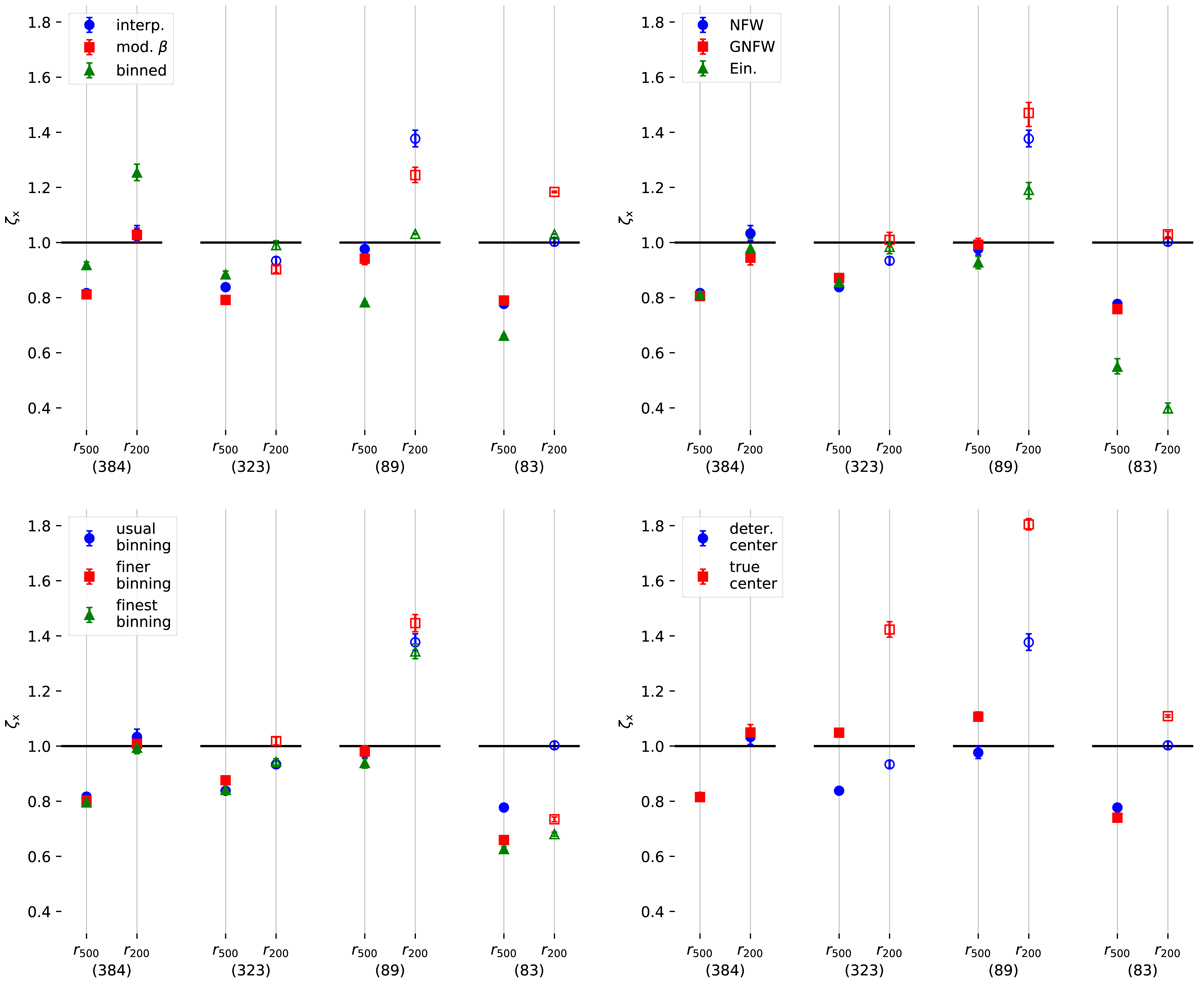
Fig. 2.

image

Download original image

Idealized observations: ζx at the corresponding true rx whilst varying models and other factors (different gas electron density models: interpolation model, modified β-model with one β-component, binned model (upper left); different dark-matter mass models: NFW model, GNFW model, Einasto model (upper right); different binnings (lower left); different center positions for the fit: determined center according to Sect. 3.1, true position of the minimum of the gravitational potential according to the simulations (lower right)). If not stated otherwise, we assume an interpolation model for the gas electron density and an NFW model for the dark-matter mass. The data points at the true r200 that are based on an extrapolation of the fitted profile are shown as empty symbols. More information can be found in the text.

Current usage metrics show cumulative count of Article Views (full-text article views including HTML views, PDF and ePub downloads, according to the available data) and Abstracts Views on Vision4Press platform.

Data correspond to usage on the plateform after 2015. The current usage metrics is available 48-96 hours after online publication and is updated daily on week days.

Initial download of the metrics may take a while.