Open Access

Fig. B.4

image

Download original image

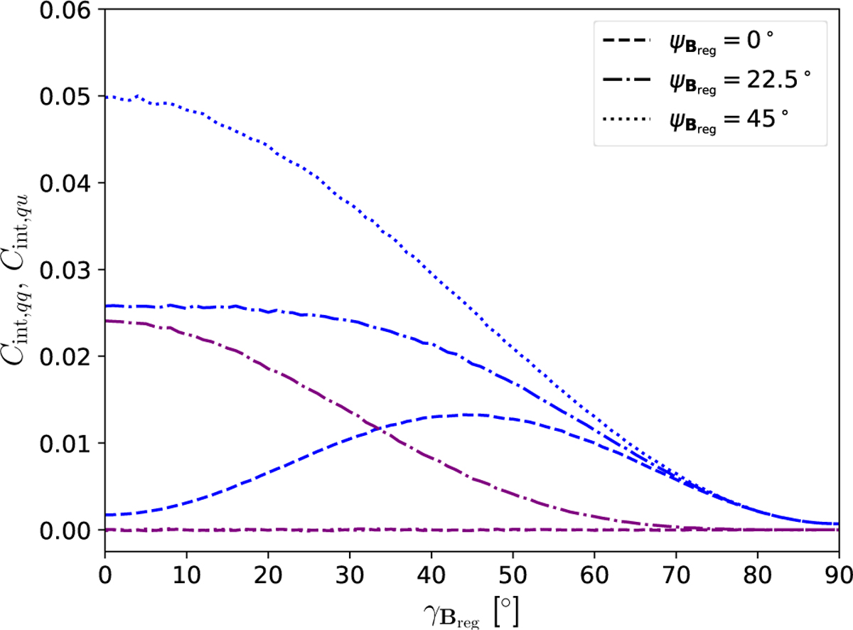
Dependence of Cint,qq (blue) and Cint,qu (purple) as a function of and for three values of the position angles: (dashed lines), (dashed-dotted lines), and (dotted lines). A value of Aturb = 0.2 is chosen here. The elements of the covariance matrix are given in units of . A value of 0.01 corresponds to a polarization uncertainty (σq or σq) of 10 per cent of Pmax.

Current usage metrics show cumulative count of Article Views (full-text article views including HTML views, PDF and ePub downloads, according to the available data) and Abstracts Views on Vision4Press platform.

Data correspond to usage on the plateform after 2015. The current usage metrics is available 48-96 hours after online publication and is updated daily on week days.

Initial download of the metrics may take a while.