Open Access

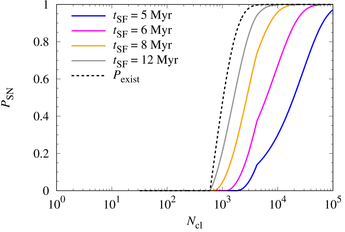
Fig. 4.

image

Download original image

Probability of acquiring at least one core-collapse supernova with mass in the range of 20–60 M within the duration of star formation, PSN. Here, we assume that mmax depends on Ncl and it is given by Eq. (1).

Current usage metrics show cumulative count of Article Views (full-text article views including HTML views, PDF and ePub downloads, according to the available data) and Abstracts Views on Vision4Press platform.

Data correspond to usage on the plateform after 2015. The current usage metrics is available 48-96 hours after online publication and is updated daily on week days.

Initial download of the metrics may take a while.