Open Access

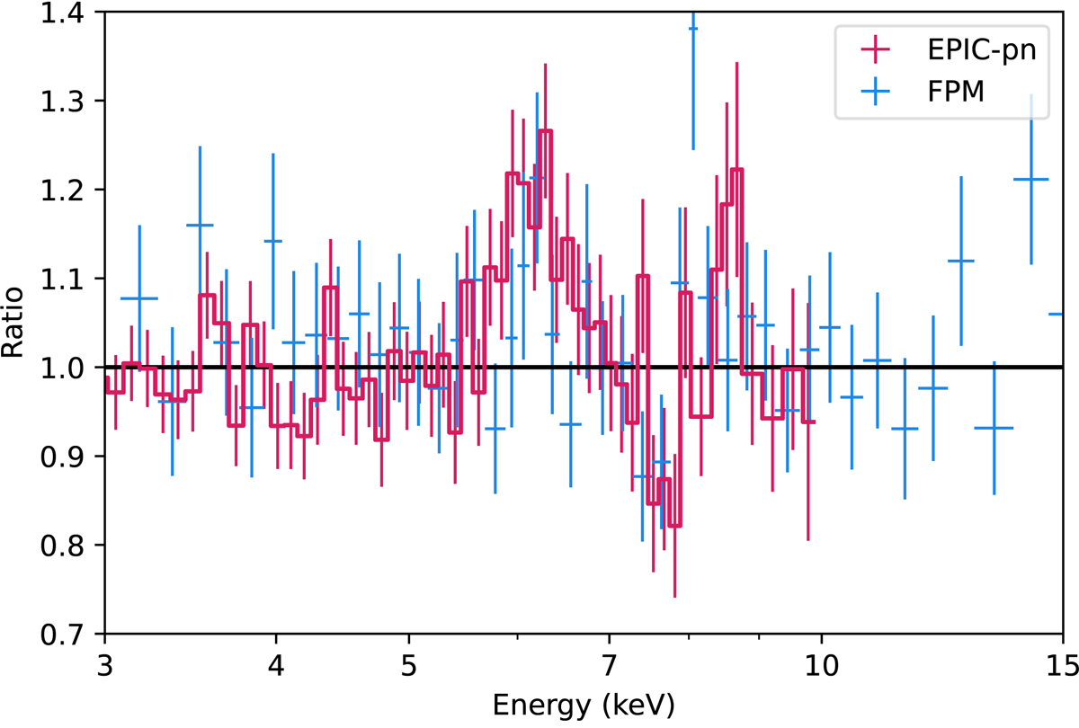
Fig. 13.

image

Download original image

Ratio of the XMM-Newton and NuSTAR spectra to a power-law continuum and Comptonized soft excess model, in the Fe K band. A moderately broadened emission line is visible, and a possible absorption feature is present between 7 and 8 keV in the EPIC-pn spectrum. The NuSTAR data are consistent with both features, but are noisier.

Current usage metrics show cumulative count of Article Views (full-text article views including HTML views, PDF and ePub downloads, according to the available data) and Abstracts Views on Vision4Press platform.

Data correspond to usage on the plateform after 2015. The current usage metrics is available 48-96 hours after online publication and is updated daily on week days.

Initial download of the metrics may take a while.