Open Access

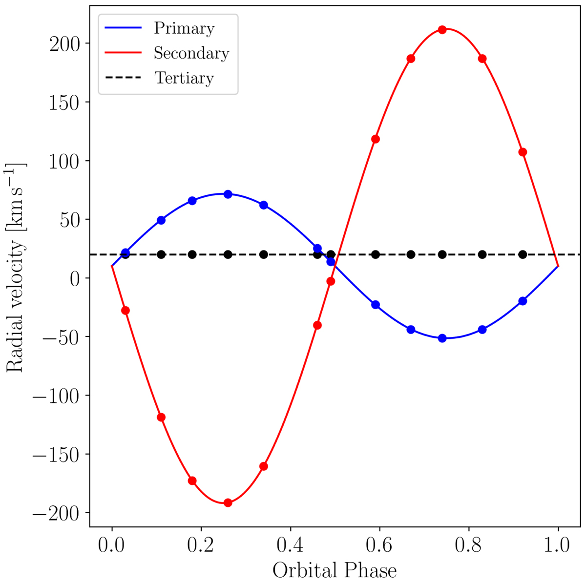
Fig. 3.

image

Download original image

Orbital solution for the primary (blue), secondary (red), and tertiary (black) components of U Gru obtained with the method of spectral disentangling. We note that the symbols do not represent actual RV measurements. Instead, they indicate the distribution of the observed spectra over the orbital cycle of the inner binary system, while the orbital RV curve itself is computed from the best-fit orbital elements.

Current usage metrics show cumulative count of Article Views (full-text article views including HTML views, PDF and ePub downloads, according to the available data) and Abstracts Views on Vision4Press platform.

Data correspond to usage on the plateform after 2015. The current usage metrics is available 48-96 hours after online publication and is updated daily on week days.

Initial download of the metrics may take a while.