Open Access

Fig. 4.

image

Download original image

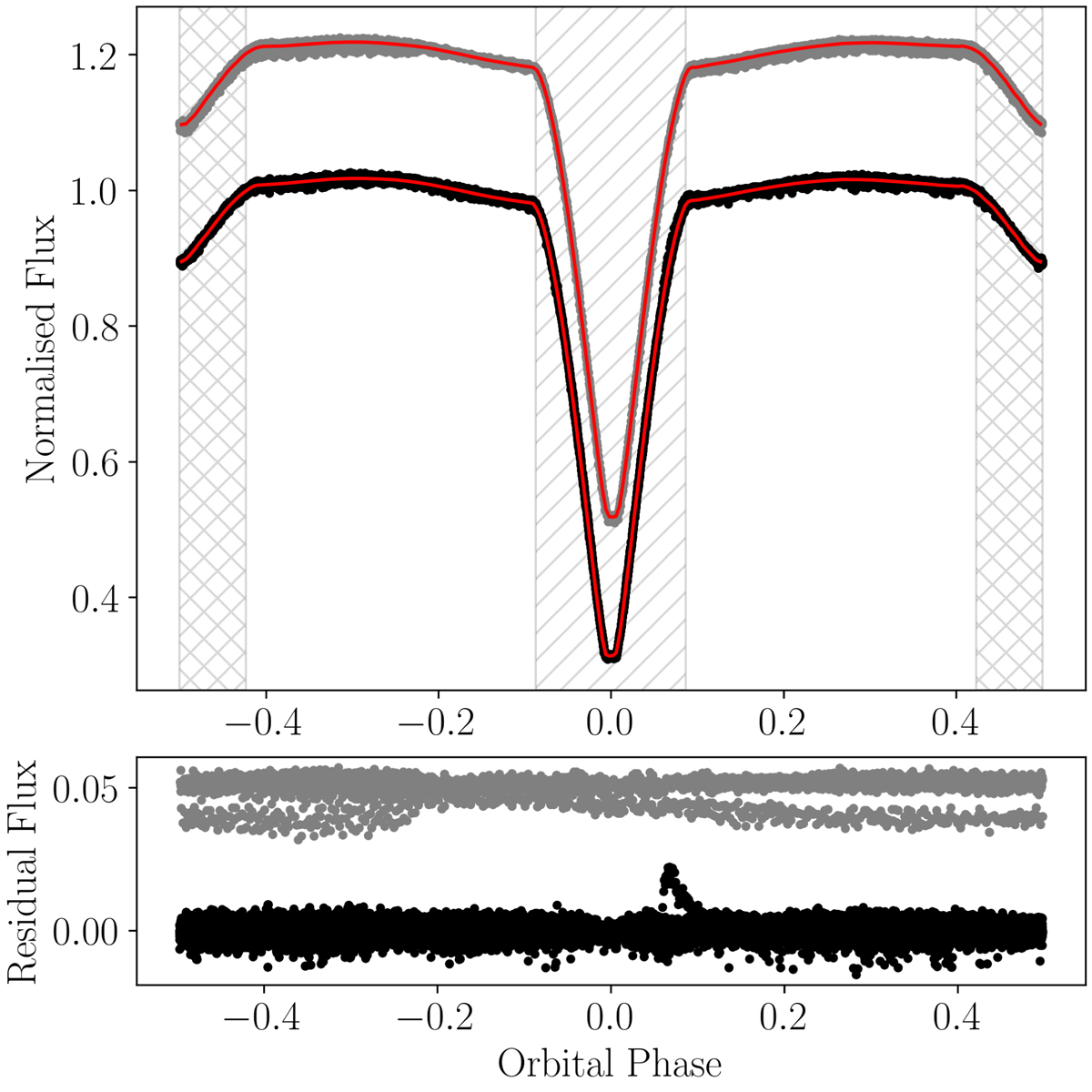
Orbitally phase-folded TESS photometry of U Gru. Top: phase-folded light curve of U Gru for sectors 1 (black) and 28 (grey) with the interpolated binary model in red. Grey hatching denotes phases of primary (forward hatching) and secondary (cross hatching) eclipse. Bottom: residuals after subtraction of an interpolation binary model for sectors 1 (black) and 28 (grey).

Current usage metrics show cumulative count of Article Views (full-text article views including HTML views, PDF and ePub downloads, according to the available data) and Abstracts Views on Vision4Press platform.

Data correspond to usage on the plateform after 2015. The current usage metrics is available 48-96 hours after online publication and is updated daily on week days.

Initial download of the metrics may take a while.