Open Access

Fig. 3

image

Download original image

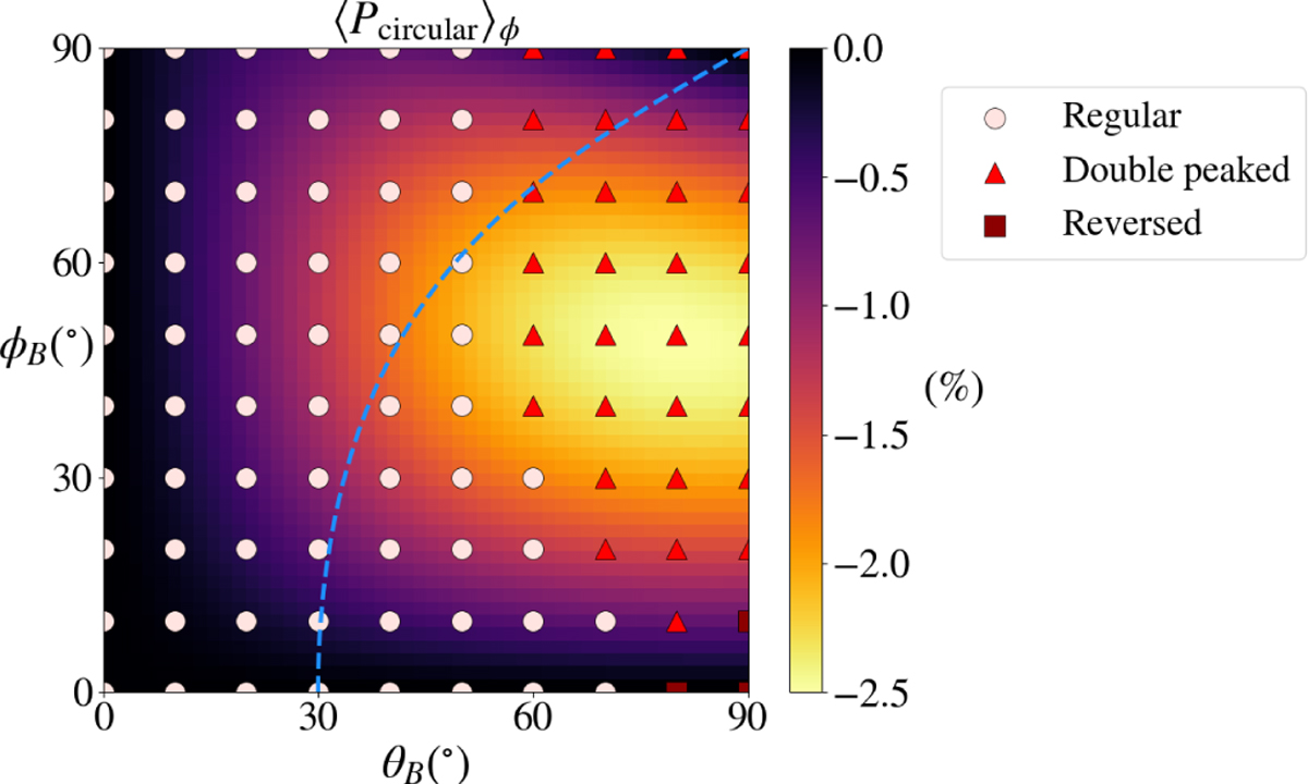
Degree of circular polarization azimuthally averaged over a disk surface ring at h/r = 0.2. We assumed i = 55° and the mixture with amorphous carbon as dust composition. Each symbol represents a different category of azimuthal profile shape. The blue dashed line indicates the disk wind boundary: disk winds may occur at field configurations at the right side of the line.

Current usage metrics show cumulative count of Article Views (full-text article views including HTML views, PDF and ePub downloads, according to the available data) and Abstracts Views on Vision4Press platform.

Data correspond to usage on the plateform after 2015. The current usage metrics is available 48-96 hours after online publication and is updated daily on week days.

Initial download of the metrics may take a while.