Open Access

Fig. 2

image

Download original image

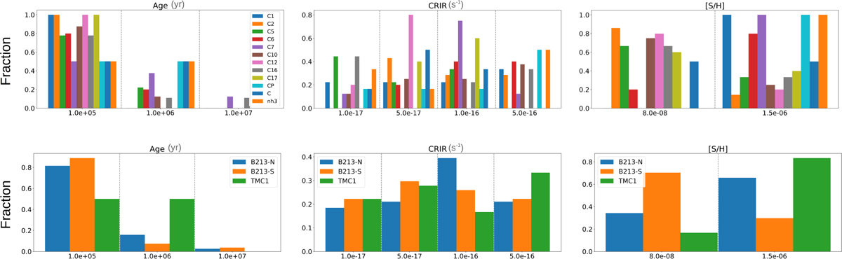
Statistics of our molecular fitting in Taurus. The histograms show the fraction of positions that have been fitted with a given value of Age (left), (center), and [S/H] (right). The positions are grouped by cut in the upper panels (see Table 1), and by cloud in the lower panels. It should be noticed that none of the Taurus positions have been fitted with [S/H] = 1.5 × 10−5.

Current usage metrics show cumulative count of Article Views (full-text article views including HTML views, PDF and ePub downloads, according to the available data) and Abstracts Views on Vision4Press platform.

Data correspond to usage on the plateform after 2015. The current usage metrics is available 48-96 hours after online publication and is updated daily on week days.

Initial download of the metrics may take a while.