Open Access

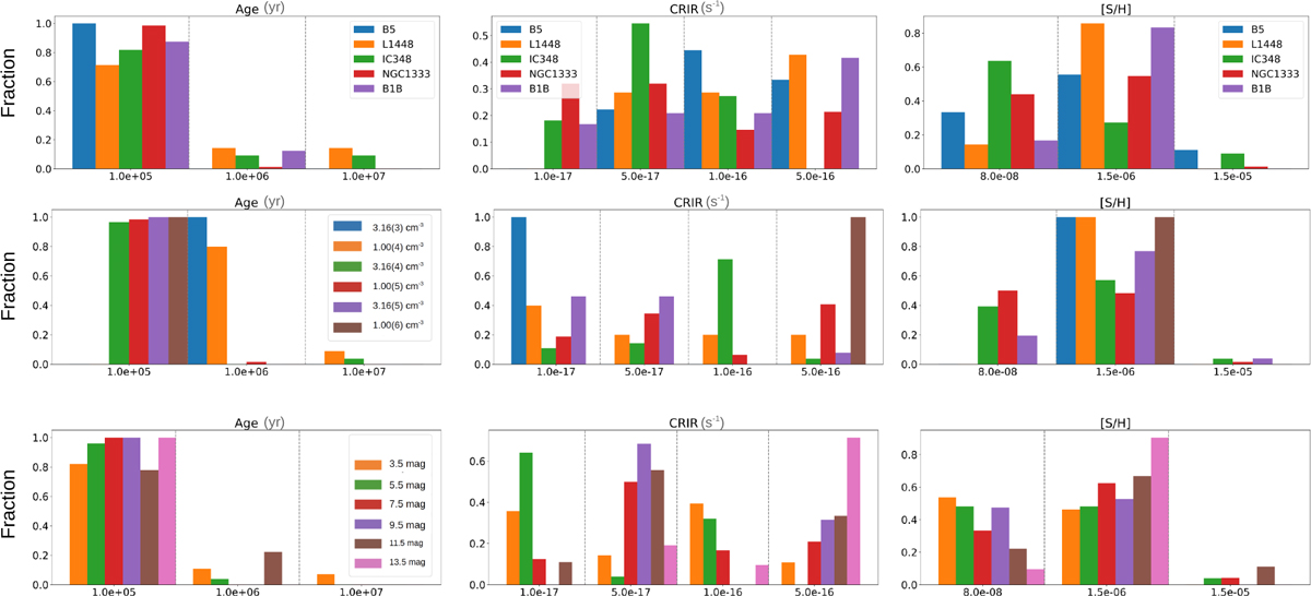
Fig. 4

image

Download original image

Statistics of our molecular fitting in Perseus. The upper row shows the histograms with the positions separated by cloud. In the middle row, the positions have been distributed in bins of density, and in the bottom row, in bins of visual extinction.

Current usage metrics show cumulative count of Article Views (full-text article views including HTML views, PDF and ePub downloads, according to the available data) and Abstracts Views on Vision4Press platform.

Data correspond to usage on the plateform after 2015. The current usage metrics is available 48-96 hours after online publication and is updated daily on week days.

Initial download of the metrics may take a while.